A propos du document

Type :
Arrêté
État :
en vigueur
Date de signature :
Date de publication :
Contenus liés

Arrêté du 28/07/22 modifiant l'arrêté du 6 octobre 2021 fixant les conditions d'achat de l'électricité produite par les installations implantées sur bâtiment, hangar ou ombrière utilisant l'énergie solaire photovoltaïque, d'une puissance crête installée inférieure ou égale à 500 kilowatts telles que visées au 3° de l'article D. 314-15 du code de l'énergie et situées en métropole continentale

Télécharger au format PDF

(JO n° 175 du 30 juillet 2022)


NOR : ENER2221742A

Vus

Le ministre de l'économie, des finances et de la souveraineté industrielle et numérique et la ministre de la transition énergétique,

Vu le code de l'énergie, notamment ses articles L. 314-1 à L. 314-13 et R. 314-1 à R. 314-23 ;

Vu le décret n° 2016-691 du 28 mai 2016 définissant les listes et les caractéristiques des installations mentionnées aux articles L. 314-1, L. 314-2, L. 314-18, L. 314-19 et L. 314-21 du code de l'énergie ;

Vu l'arrêté du 6 octobre 2021 fixant les conditions d'achat de l'électricité produite par les installations implantées sur bâtiment, hangar, ou ombrière utilisant l'énergie solaire photovoltaïque, d'une puissance crête installée inférieure ou égale à 500 kilowatts telles que visées au 3° de l'article D. 314-15 du code de l'énergie et situées en métropole continentale ;

Vu l'avis du Conseil supérieur de l'énergie en date du 12 mai 2022 ;

Vu l'avis de la Commission de régulation de l'énergie en date 9 juin 2022,

Arrêtent :

Article 1er de l'arrêté du 28 juillet 2022

L'annexe 1 de l'arrêté du 6 octobre 2021 susvisé est ainsi modifié :

1° Le 2 de cette annexe est complété par un nouvel alinéa ainsi rédigé :

« Par dérogation, les coefficients S1, S2, S3, S'1, S'2, S'3 et S'4 sont égaux à 0. » ;

2° Le 3 de cette annexe est complété par un nouvel alinéa ainsi rédigé :

« Par dérogation, les coefficients V1, V2, V3, V'1, V'2, V'3 et V'4 sont égaux à 0. » ;

3° Le 4 de cette annexe est complété par un nouvel alinéa ainsi rédigé :

« Par dérogation, les coefficients W2, W3 et W'3 et W'4 sont égaux à 0. » ;

4° Le 6 de cette annexe est remplacé par les dispositions suivantes :

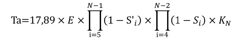
« 6. Pour une installation de vente avec injection en totalité éligible au tarif Ta au sens de l'article 8 du présent arrêté, le tarif d'achat, exprimé en c €/ kWh, applicable lorsque le producteur a effectué la demande complète de raccordement durant le trimestre tarifaire qui suit le trimestre civil d'indice N, est défini par la formule suivante :

Image retirée.

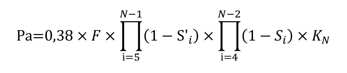
« Pour une installation de vente avec injection du surplus éligible à la prime Pa au sens de l'article 8 du présent arrêté, la prime à l'investissement, exprimée en €/ Wc, applicable lorsque le producteur a effectué la demande complète de raccordement durant le trimestre tarifaire qui suit le trimestre civil d'indice N, est définie par la formule suivante :

Image retirée.

« formules dans lesquelles :

« Les coefficients E et F sont définis en fonction de la puissance crête de l'installation, notée P et exprimée en kWc, et de la puissance Q définie au 5 de la présente annexe, de la façon suivante :
- si P + Q est supérieure à 9 kWc, alors E = 0 et F = 0 ;
- si P + Q est supérieure à 3 kWc et inférieure ou égal à 9 kWc, alors E = 0,85 et F = 0,75 ;
- si P + Q est inférieure ou égal à 3 kWc, alors E = 1 et F = 1.

« Le trimestre civil durant lequel l'arrêté est entré en vigueur correspond à l'indice N = 0, le suivant correspond à l'indice N = 1 et ainsi de suite ; le trimestre précédent le trimestre N = 0 correspond à l'indice N = -1.

« Le symbole Image retirée.  est égal à 1 lorsque N est inférieur ou égal 5, et est égal au produit des coefficients (1-Si) décrits au 2 de la présente annexe pour i variant de 4 à N-2 lorsque N est supérieur ou égal à 6 ;

« Le symbole Image retirée. est égal à 1 lorsque N est inférieur ou égal 5, et est égal au produit des coefficients (1-S'i) décrits au 2 de la présente annexe pour i variant de 5 à N-1 lorsque N est supérieur ou égal à 6 ;

« Le paramètre KN est un coefficient d'indexation établi comme suit lorsque la demande complète de raccordement est effectuée durant le trimestre tarifaire qui suit le trimestre civil d'indice N :

KN = 0,5 × ICHTrev-TS/ ICHTrev-TSo + 0,5 × FM0ABE0000/ FM0ABE0000o

« Formule dans laquelle :

« 1° ICHTrev-TS est la dernière valeur définitive connue au premier jour du trimestre civil d'indice N, de l'indice du coût horaire du travail révisé (tous salariés) dans les industries mécaniques et électriques ;

« 2° FM0ABE0000 est la dernière valeur définitive connue au premier jour du trimestre civil d'indice N, de l'indice des prix à la production de l'industrie française pour le marché français, ensemble de l'industrie, A10 BE, prix départ usine ;

« 3° ICHTrev-TSo et FM0ABE0000o sont les valeurs définitives correspondant au mois de septembre 2020.

« Par exception, pour N inférieur ou égal à 0, KN est pris égal à 1.

« Le cas échéant, les valeurs du tarif Ta et de la prime Pa, calculées sans arrondi intermédiaire, sont arrondies à la seconde décimale. » ;

5° Le 7 de cette annexe est remplacé par les dispositions suivantes :

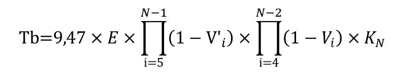
« 7. Pour une installation de vente avec injection en totalité éligible au tarif Tb au sens de l'article 8 du présent arrêté, le tarif d'achat, exprimé en c €/ kWh, applicable lorsque le producteur a effectué la demande complète de raccordement durant le trimestre tarifaire qui suit le trimestre civil d'indice N, est défini par la formule suivante :

Image retirée.

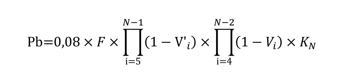
« Pour une installation de vente avec injection du surplus éligible à la prime Pb au sens de l'article 8 du présent arrêté, la prime à l'investissement, exprimée en €/ Wc, applicable lorsque le producteur a effectué la demande complète de raccordement durant le trimestre tarifaire qui suit le trimestre civil d'indice N, est définie par la formule suivante :

«

Image retirée.

« formules dans lesquelles :

« Le trimestre civil durant lequel l'arrêté est entré en vigueur correspond à l'indice N = 0, le suivant correspond à l'indice N = 1 et ainsi de suite ; le trimestre précédent le trimestre N = 0 correspond à l'indice N = -1.

« Le symbole Image retirée. est égal à 1 lorsque N est inférieur ou égal 5 et est égal au produit des coefficients (1-Vi) décrits au 3 de la présente annexe pour i variant de 4 à N-2 lorsque N est supérieur ou égal à 6 ;

Le symbole Image retirée. est égal à 1 lorsque N est inférieur ou égal 5 et est égal au produit des coefficients (1-V'i) décrits au 3 de la présente annexe pour i variant de 5 à N-1 lorsque N est supérieur ou égal à 6 ;

« Le paramètre KN correspond au coefficient d'indexation défini au 6 de la présente annexe ;

« Les coefficients E et F sont définis en fonction de la puissance crête de l'installation, notée P et exprimée en kWc, et de la puissance Q définie au 5 de la présente annexe, de la façon suivante :
- si P + Q est supérieure à 100 kWc, alors E = 0 et F = 0 ;
- si P + Q est supérieure à 36 kWc et est inférieure ou égale à 100 kWc, alors E = 1 et F = 1 ;
- si P + Q est inférieure ou égale à 36 kWc, alors E = 1,15 et F = 2.

« Le cas échéant, les valeurs du tarif Tb et de la prime Pb, calculée sans arrondi intermédiaire, sont arrondies à la seconde décimale. » ;

6° Le 8 de cette annexe est remplacé par les dispositions suivantes :

« 8. Pour une installation éligible au tarif Tc au sens de l'article 8 du présent arrêté, le tarif d'achat, exprimé en c €/ kWh, applicable lorsque le producteur a effectué la demande complète de raccordement durant le trimestre tarifaire qui suit le trimestre civil d'indice N, est défini par la formule suivante :

Image retirée.

« formule dans laquelle :

« Le trimestre civil durant lequel l'arrêté est entré en vigueur correspond à l'indice N = 0, le suivant correspond à l'indice N = 1 et ainsi de suite ; le trimestre précédent le trimestre N = 0 correspond à l'indice N = -1 ;

« Le symbole Image retirée. est égal à 1 lorsque N est inférieur ou égal à 5 et est égal au produit des coefficients (1-Wi) décrits au 4 de la présente annexe pour i variant de 4 à N-2 lorsque N est supérieur ou égal à 6 ;

« Le symbole  Image retirée. est égal à 1 lorsque N est inférieur ou égal à 5, et est égal au produit des coefficients (1-W'i) décrits au 4 de la présente annexe pour i variant de 5 à N-1 lorsque N est supérieur ou égal à 6 ;

« Le paramètre KN correspond au coefficient d'indexation défini au 6 de la présente annexe ;

« Le coefficient E est défini en fonction de la puissance crête de l'installation, notée P et exprimée en kWc, et de la puissance Q définie au 5 de la présente annexe, de la façon suivante :
- si P + Q est supérieure à 500 kWc, alors E = 0 ;
- si P + Q est inférieure ou égal à 500 kWc, alors E = 1.

« Le cas échéant, la valeur du tarif Tc, calculée sans arrondi intermédiaire, est arrondie à la seconde décimale. »

Article 2 de l'arrêté du 28 juillet 2022

I. Avant le dernier alinéa du I de l'article 7 de l'arrêté du 6 octobre 2021 susvisé, il est inséré un nouvel alinéa ainsi rédigé :

« 10° le trimestre tarifaire de référence pris en compte pour définir le montant des tarifs et primes mentionnés aux I et II de l'article 8, à condition que le nouveau trimestre tarifaire de référence soit postérieur à celui de la demande complète de raccordement et soit antérieur ou égal au trimestre tarifaire correspondant à la date survenant 12 mois avant la date limite d'achèvement mentionnée à l'article 5, éventuellement prolongée. Le nouveau trimestre tarifaire de référence ne peut pas être postérieur à celui de la date de la demande de modification. Cette modification du tarif de référence n'induit pas de modification de la demande initiale de raccordement. »

II. L'article 8 de l'arrêté du 6 octobre 2021 susvisé est ainsi modifié :

1° L'unique phrase du 3e alinéa du I est complétée par les mots : «, pour lesquelles le tarif Ta calculé conformément à l'annexe 1 est non nul. » ;

2° L'unique phrase du 4e alinéa du I est complétée par les mots : «, pour lesquelles le tarif Tb calculé conformément à l'annexe 1 est non nul. » ;

3° La première phrase du 6e alinéa du I est complétée par les mots : «, pour lesquelles la prime Pa calculée conformément à l'annexe 1 est non nulle. » ;

4° La première phrase du 7e alinéa du I est complétée par les mots : «, pour lesquelles la prime Pb calculée conformément à l'annexe 1 est non nulle. ». ;

5° Au 1er alinéa du II, les mots : « et supérieure à 100 kWc » sont remplacés par les mots « non éligibles aux tarifs Ta et Tb, ni aux primes Pa et Pb » ;

6° Au 2e alinéa du II, les mots : « supérieure strictement à 100 kWc et » sont supprimés et, après les mots : « à 500 kWc », sont insérés les mots : « non éligibles aux tarifs Ta et Tb ni aux primes Pa et Pb et pour lesquelles le tarif Tc calculé conformément à l'annexe 1 est non nul et ».

III. A la 1re ligne de la 3e colonne du tableau de l'annexe 4 de l'arrêté du 6 octobre 2021 susvisé, les mots : « PUISSANCE CRÊTE de l'installation (kWc) » sont remplacés par les mots : « PUISSANCE CRÊTE P + Q à laquelle est soumise l'installation (kWc) ».

Article 3 de l'arrêté du 28 juillet 2022

Les installations pour lesquelles une demande complète de raccordement a été déposée entre le 1er mai 2022 et la veille de l'entrée en vigueur du présent arrêté peuvent bénéficier des conditions d'achat découlant des modalités des articles 1er et 2 du présent arrêté.

Article 4 de l'arrêté du 28 juillet 2022

La directrice de l'énergie est chargée de l'exécution du présent arrêté, qui sera publié au Journal officiel de la République française.

Fait le 28 juillet 2022.

La ministre de la transition énergétique,
Pour la ministre et par délégation :
La directrice de l'énergie,
S. Mourlon

Le ministre de l'économie, des finances et de la souveraineté industrielle et numérique,
Pour le ministre et par délégation :
La directrice générale de la concurrence, de la consommation et de la répression des fraudes,
V. Beaumeunier