(JO n° 162 du 14 juillet 2023)
NOR : ENER2318758A
Vus
Le ministre de l'économie, des finances et de la souveraineté industrielle et numérique et la ministre de la transition énergétique,
Vu le code de l'énergie, notamment ses articles L. 314-1 à L. 314-13 et R. 314-1 à R. 314-23 ;
Vu le décret n° 2016-691 du 28 mai 2016 définissant les listes et les caractéristiques des installations mentionnées aux articles L. 314-1, L. 314-2, L. 314-18, L. 314-19 et L. 314-21 du code de l'énergie ;
Vu l'arrêté du 6 octobre 2021 fixant les conditions d'achat de l'électricité produite par les installations implantées sur bâtiment, hangar, ou ombrière utilisant l'énergie solaire photovoltaïque, d'une puissance crête installée inférieure ou égale à 500 kilowatts telles que visées au 3° de l'article D. 314-15 du code de l'énergie et situées en métropole continentale ;
Vu l'arrêté du 28 juillet 2022 modifiant l'arrêté du 6 octobre 2021 fixant les conditions d'achat de l'électricité produite par les installations implantées sur bâtiment, hangar, ou ombrière utilisant l'énergie solaire photovoltaïque, d'une puissance crête installée inférieure ou égale à 500 kilowatts telles que visées au 3° de l'article D. 314-15 du code de l'énergie et situées en métropole continentale ;
Vu l'arrêté du 8 février 2023 modifiant l'arrêté du 6 octobre 2021 fixant les conditions d'achat de l'électricité produite par les installations implantées sur bâtiment, hangar ou ombrière utilisant l'énergie solaire photovoltaïque, d'une puissance crête installée inférieure ou égale à 500 kilowatts telles que visées au 3° de l'article D. 314-15 du code de l'énergie et situées en métropole continentale ;
Vu l'avis du Conseil supérieur de l'énergie en date du 11 mai 2023 ;
Vu l'avis de la Commission de régulation de l'énergie en date du 31 mai 2023,
Arrêtent :
Article 1er de l'arrêté du 4 juillet 2023
L'arrêté du 6 octobre 2021 est modifié conformément au présent arrêté.
Article 2 de l'arrêté du 4 juillet 2023
Le troisième alinéa du II de l'article 8 est remplacé par les dispositions suivantes : « Pour les installations de puissance supérieure à 100 kWc bénéficiant de Tc, une indexation est appliquée au tarif calculé au moment de la demande de raccordement. Tc est alors multiplié par (KN + P/ KN) le coefficient KN étant défini au 6 de l'annexe 1 et N + P correspondant au trimestre tarifaire durant lequel la mise en service a été réalisée, sans pouvoir être supérieur à N + 2 ».
Article 3 de l'arrêté du 4 juillet 2023
Au 4e alinéa de l'article 14, les mots : « ainsi que le tarif Tc indexé par le coefficient (KN + 2/ KN) » sont supprimés.
Article 4 de l'arrêté du 4 juillet 2023
L'annexe 1 est ainsi modifiée :
I. Le 4e alinéa du 2, est remplacé par des dispositions suivantes : « Par dérogation, les coefficients S1, S2, S3, S4, S'1, S'2, S'3, S'4, S'5 sont égaux à 0. »
II. Le 5e alinéa du 3, est remplacé par des dispositions suivantes : « Par dérogation, les coefficients V1, V2, V3, V4, V'1, V'2, V'3, V'4, V'5 sont égaux à 0. »
III. Le 3e alinéa du 4 est supprimé.
IV. Le 5e alinéa du 4 est remplacé par les dispositions suivantes : « Par dérogation, les coefficients W1, W2, W3, W4, W'1, W'2, W'3, W'4, W'5 sont égaux à 0. »
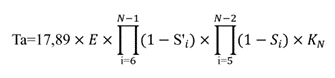
V. Le 2e alinéa du 6 est remplacé par la formule suivante :

VI. Le 4e alinéa du 6 est remplacé par la formule suivante :

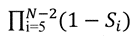
VII. Les 11e et 12e alinéas du 6 sont remplacés par les dispositions suivantes :
« Le symbole
est égal à 1 lorsque N est inférieur ou égal à 6, et est égal au produit des coefficients (1-Si) décrits au 2 de la présente annexe pour i variant de 5 à N-2 lorsque N est supérieur ou égal à 7 ;
« Le symbole
est égal à 1 lorsque N est inférieur ou égal à 6, et est égal au produit des coefficients (1-S'i) décrits au 2 de la présente annexe pour i variant de 6 à N-1 lorsque N est supérieur ou égal à 7 ; »
VIII. Le 2nd alinéa du 7 est remplacé par les dispositions suivantes :

IX. Le 4e alinéa du 7 est remplacé par les dispositions suivantes :

X. Les 7e et 8e alinéas du 7 sont remplacés par les dispositions suivantes :
« Le symbole
est égal à 1 lorsque N est inférieur ou égal à 6 et est égal au produit des coefficients (1-Vi) décrits au 3 de la présente annexe pour i variant de 5 à N-2 lorsque N est supérieur ou égal à 7 ;
« Le symbole
est égal à 1 lorsque N est inférieur ou égal à 6, et est égal au produit des coefficients (1-V'i) décrits au 3 de la présente annexe pour i variant de 6 à N-1 lorsque N est supérieur ou égal à 7 ; »
XI. Le 2nd alinéa du 8 est remplacé par la formule suivante :

XII. Les 5e et 6e alinéas du 8 sont remplacés par les dispositions suivantes :
« Le symbole
est égal à 1 lorsque N est inférieur ou égal à 6 et est égal au produit des coefficients (1-Wi) décrits au 4 de la présente annexe pour i variant de 5 à N-2 lorsque N est supérieur ou égal à 7 ;
« Le symbole
est égal à 1 lorsque N est inférieur ou égal à 6, et est égal au produit des coefficients (1-W'i) décrits au 4 de la présente annexe pour i variant de 6 à N-1 lorsque N est supérieur ou égal à 7 ; ».
Article 5 de l'arrêté du 4 juillet 2023
Au 3e alinéa de l'annexe 3, après les mots : « peuvent être » est inséré le mot : « autorisées ».
Article 6 de l'arrêté du 4 juillet 2023
Le présent arrêté s'applique aux installations dont la demande complète de raccordement est postérieure au 30 avril 2023. Pour les installations dont la demande complète de raccordement est antérieure au 1er mai 2023, ce sont les dispositions de l'arrêté du 6 octobre 2021 dans sa version antérieure qui s'appliquent.
Article 7 de l'arrêté du 4 juillet 2023
La directrice de l'énergie est chargée de l'exécution du présent arrêté, qui sera publié au Journal officiel de la République française.
Fait le 4 juillet 2023.
La ministre de la transition énergétique,
Pour la ministre et par délégation :
La directrice de l'énergie,
S. Mourlon
Le ministre de l'économie, des finances et de la souveraineté industrielle et numérique,
Pour le ministre et par délégation :
La directrice générale de la concurrence, de la consommation et de la répression des fraudes,
S. Lacoche