(JO n° 237 du 12 octobre 2023)
NOR : TREL2306395A
Publics concernés : maîtres d'ouvrage et promoteurs, architectes, maîtres d'œuvre, constructeurs, organismes certificateurs, bailleurs, gestionnaires de biens immobiliers, propriétaires d'immeubles et de logements et syndics de copropriété.
Objet : arrêté pris pour l'application de l'article R. 171-7 du code de la construction et de l'habitation.
Entrée en vigueur : le présent arrêté entre en vigueur au lendemain de sa publication et ses dispositions s'appliquent aux demandes de labellisation qui interviennent à compter du 1er janvier 2024 .
Notice : l'objectif poursuivi est de définir le contenu et les conditions d'attribution du label prévu à l'article R. 171-7 du code de la construction et de l'habitation.
Références : le présent arrêté peut être consulté sur le site Légifrance (https://www.legifrance.gouv.fr).
Vus
Le ministre de la transition écologique et de la cohésion des territoires, la ministre de la transition énergétique et le ministre délégué auprès du ministre de la transition écologique et de la cohésion des territoires, chargé du logement,
Vu le code de la consommation, notamment ses articles L. 115-27 à L. 115-32, L. 433-3 à L. 433-9, R. 115-1 à R. 115-3 et R. 433-1 et R. 433-2 ;
Vu le code de la construction et de l'habitation, notamment ses articles L. 173-1-1, R. 122-3, R. 171-7 à R. 171-8, R. 173-1 à R. 173-3 et R. 174-32 ;
Vu le code de l'énergie, notamment ses articles L. 712-1, L. 712-2, R. 241-31-1 et R. 712-10 ;
Vu le décret n° 2020-26 du 14 janvier 2020 relatif à la prime de transition énergétique ;
Vu l'arrêté du 24 mars 1982 relatif à l'aération des logements ;
Vu l'arrêté du 13 juin 2008 relatif à la performance énergétique des bâtiments existants de surface supérieure à 1 000 mètres carrés, lorsqu'ils font l'objet de travaux de rénovation importants ;
Vu l'arrêté du 8 août 2008 portant approbation de la méthode de calcul Th-C-E ex prévue par l'arrêté du 13 juin 2008 relatif à la performance énergétique des bâtiments existants de surface supérieure à 1 000 mètres carrés, lorsqu'ils font l'objet de travaux de rénovation importants ;
Vu l'arrêté du 17 novembre 2020 relatif aux caractéristiques techniques et modalités de réalisation des travaux et prestations dont les dépenses sont éligibles à la prime de transition énergétique ;
Vu l'arrêté du 31 mars 2021 relatif au diagnostic de performance énergétique pour les bâtiments ou parties de bâtiments à usage d'habitation en France métropolitaine ;
Vu l'arrêté du 4 août 2021 relatif aux exigences de performance énergétique et environnementale des constructions de bâtiments en France métropolitaine et portant approbation de la méthode de calcul prévue à l'article R. 172-6 du code de la construction et de l'habitation ;
Vu l'avis du Conseil supérieur de la construction et de l'efficacité energétique en date du 18 avril 2023 ;
Vu l'avis du Conseil supérieur de l'énergie en date du 11 mai 2023 ;
Vu les observations formulées lors de la consultation du public réalisée du 14 mars 2023 au 4 avril 2023, en application de l'article L. 123-19-1 du code de l'environnement,
Arrêtent :
Article 1er de l'arrêté du 3 octobre 2023
Le label prévu à l'article R. 171-7 du code de la construction et de l'habitation atteste la conformité des bâtiments existants qui font l'objet de travaux de rénovation à un référentiel qui intègre, le cas échéant, selon le niveau du label dont l'atteinte est recherchée :
a) Pour les bâtiments à usage d'habitation :
- les exigences de la réglementation thermique des bâtiments existants prévue aux articles R. 173-1 à R. 173-3 et R. 122-3 du code de la construction et de l'habitation ;
- le respect d'un niveau minimal de performance énergétique globale et de confort d'été ;
- le respect d'un niveau minimal de perméabilité à l'air ;
- le respect d'un renouvellement suffisant de l'air ;
- le cas échéant, le respect d'un seuil maximal pour le coefficient de transmission thermique moyen des parois du bâtiment ;
- et les modalités minimales de contrôle définies en annexe 1.
La performance énergétique globale d'un bâtiment résidentiel existant est mesurée par la consommation conventionnelle d'énergie telle que définie par l'arrêté du 31 mars 2021 susvisé ;
b) Pour les bâtiments à usage autre que d'habitation :
- les exigences de la réglementation thermique des bâtiments existants prévue aux articles R. 173-1 à R. 173-3 et R. 122-3 du code de la construction et de l'habitation ;
- le respect d'un niveau minimal de performance énergétique globale et de confort d'été ;
- et les modalités minimales de contrôle définies en annexe 1.
La performance énergétique globale d'un bâtiment tertiaire existant est mesurée par la consommation conventionnelle d'énergie telle que définie à l'article 9 de l'arrêté du 13 juin 2008 susvisé.
Le confort d'été d'un bâtiment tertiaire existant est mesuré par sa température intérieure conventionnelle atteinte en été, qui est calculée selon les modalités prévues à l'article 10 de l'arrêté du 13 juin 2008 susvisé.
Article 2 de l'arrêté du 3 octobre 2023
Pour les bâtiments à usage d'habitation, le label prévu à l'article R. 171-7 du code de la construction et de l'habitation comporte deux niveaux :
1° Le niveau « bâtiment basse consommation rénovation résidentiel, BBC rénovation résidentiel 2024 », conforme à l'ambition portée par le 17° bis de l'article L. 111-1 du code de la construction et de l'habitation, qui correspond à la réalisation des exigences cumulées suivantes :
a) L'atteinte de la classe A ou B au sens de l'article L. 173-1-1 ;
b) L'étude des postes de travaux de rénovation énergétique suivants : l'isolation des murs, l'isolation des planchers bas, l'isolation de la toiture, le remplacement des menuiseries extérieures, la ventilation, la production de chauffage et d'eau chaude sanitaire, la production de froid ainsi que le traitement des interfaces associées ;
c) L'installation de protections solaires extérieures sur les baies vitrées des pièces de vie et des locaux à sommeil, si aucune protection solaire extérieures n'est déjà installée. Les baies vitrées doivent respecter les exigences de l'article 24 de l'arrêté du 4 août 2021 susvisé ;
d) Les déperditions thermiques par transmission à travers les parois et les baies d'un bâtiment respectent des conditions minimales de performance, telles que définies à l'article 3 ;
e) La perméabilité à l'air de l'enveloppe sous 4 Pa, Q4Pa-surf, déterminée conformément aux modalités définies à l'annexe VII de l'arrêté du 4 août 2021 susvisé, est inférieure ou égale à 1,20 m3/(h.m2) de parois déperditives, hors plancher bas ;
f) Une ventilation générale et permanente est assurée dans chaque logement conformément au premier alinéa de l'article 1er de l'arrêté du 24 mars 1982 relatif à l'aération des logements. Toutes les pièces du logement doivent être ventilées et le système doit être conçu pour que de l'air entre ou sorte du logement dans toutes les pièces de vie et sorte du logement dans toutes les pièces humides.
Le débit total minimal permanent de ventilation du logement respecte les valeurs renseignées à l'article 4 de l'arrêté du 24 mars 1982 et si un dispositif de réglage automatique en fonction du besoin de ventilation est installé, les débits peuvent être réduits jusqu'aux valeurs renseignées dans le deuxième tableau de l'article 4.
Les exigences des articles 8 à 16 de l'arrêté du 24 mars 1982 doivent également être respectées ;
g) Afin de prétendre à l'obtention du niveau « bâtiment basse consommation rénovation résidentiel, BBC rénovation résidentiel 2024 », il est interdit :
- d'installer un nouveau système de chauffage qui inclut un ou plusieurs équipements pour lesquels le niveau d'émissions de gaz à effet de serre de chacun est supérieur à 150 gCO2eq/kWh PCI et dont le taux de couverture, tel que défini ci-dessous, est supérieur à 30 % ;
- de conserver un système de chauffage, un système de production d'eau chaude sanitaire ou un système de chauffage et de production d'eau chaude sanitaire, dont les émissions de gaz à effet de serre sont supérieures à 300 gCO2éq/kWh PCI, y compris si ce système est destiné à se trouver intégré à un système hybride à l'issue du programme de travaux envisagé.
Au sein d'un périmètre de développement prioritaire de réseau de chaleur, tel que mentionné au L. 712-2 du code de l'énergie, les systèmes de chauffage, d'une puissance supérieure à 30 kilowatts, qui incluent un ou plusieurs équipements pour lesquels le niveau d'émissions de gaz à effet de serre de chacun est supérieur à 150 gCO2eq/kWh PCI et dont le taux de couverture, tel que défini ci-dessous, est supérieur à 30%, doivent être remplacés par un raccordement au réseau de chaleur concerné. Il peut être dérogé à cette obligation selon les conditions prévues à l'article R. 712-10 du code de l'énergie.
Les facteurs d'émissions à considérer pour le calcul des émissions de gaz à effet de serre des équipements de chauffage ou de production d'eau chaude sanitaire sont ceux définis à l'article 10 de l'arrêté du 4 août 2021 susvisé.
Une note de dimensionnement du générateur, par rapport aux déperditions calculées à la température de base, est réalisée par le professionnel en charge de l'installation du système de chauffage.
Le taux de couverture des besoins annuels mentionné au présent article est défini comme le rapport entre la quantité d'énergie fournie par l'équipement ou l'ensemble d'équipements dont les émissions de gaz à effet de serre sont supérieures à 150 gCO2eq/kWh PCI et les besoins annuels totaux couverts par le système. Ce taux de couverture, calculé pour le mode de régulation choisi par le professionnel en charge de l'installation, est spécifié dans la note de dimensionnement ;
h) Le cas échéant, l'isolation des réseaux de distribution d'eau chaude sanitaire accessibles et de bouclage, l'isolation des réseaux de chauffage situés hors du volume chauffé, et l'isolation des réseaux de distribution de froid situés hors du volume refroidi, avec les exigences suivantes :
- Ul ≤ 1,5*d + 0,16 lorsque d ≤ 0,4 m ;
- Us ≤ 0,49 lorsque d > 0,4 m ou pour des surfaces planes (comprend les réservoirs et autres composants avec des surfaces planes ou courbe et les grosses tuyauteries de section non circulaire).
Avec :
- Ul le coefficient de transmission thermique linéique applicable de la tuyauterie, en watt par mètre Kelvin (W/m.K) ;
- Us le coefficient de transmission thermique par unité de surface de la tuyauterie, en watts par mètre carré kelvin (W/m2.K) ;
- d le diamètre extérieur du conduit, en mètres (m).
Une isolation de classe supérieure ou égale à 4 selon la norme NF EN 12 828 + A1 : 2014 est réputée répondre à cette exigence ;
i) Tout système de chauffage ou de refroidissement présent dans le bâtiment est équipé d'un système de régulation automatique de la température de chauffage ou de refroidissement par pièce ou, si cela est justifié, par zone de chauffage ou de refroidissement et respecte à ce titre les exigences du R. 241-31-1 du code de l'énergie, dès l'entrée en vigueur du présent arrêté ;
2° Le niveau « bâtiment basse consommation énergétique rénovation résidentiel - première étape, BBC rénovation 2024 - première étape » qui correspond à la réalisation des exigences cumulées suivantes :
a) L'atteinte de la classe C a minima au sens de l'article L. 173-1-1 ;
b) La planification des travaux dans le temps, en trois étapes au maximum, doit permettre d'atteindre le niveau BBC rénovation 2024. Les travaux de rénovation doivent être programmés dans un audit énergétique respectant les conditions prévues à l'article 8 de l'arrêté du 17 novembre 2020 susvisé et réalisé par un auditeur tel que défini au VII de l'article 2 du décret du 14 janvier 2020 susvisé, dans le cadre d'un parcours cohérent de rénovation par étapes, ainsi que l'étude des interfaces à chaque étape de travaux ;
c) La première étape de travaux doit inclure des travaux portant a minima sur :
i) Les systèmes de ventilation, permettant de respecter les exigences minimales exposées au f du 1° du présent article ;
ii) Et deux postes de travaux traitant l'enveloppe du bâtiment parmi les postes suivants : l'isolation des murs, l'isolation des planchers bas, l'isolation de la toiture et le remplacement des menuiseries extérieures. Le traitement d'un poste correspond au traitement de l'intégralité du poste concerné.
Les matériaux isolants utilisés à l'intérieur des procédés d'isolation destinés à l'isolation thermique des postes concernés par la première étape de travaux possèdent une résistance thermique supérieure ou égale à :
- 3.7 m2.K/W pour les murs en façade ou en pignon, en cas d'isolation par l'intérieur ;
- 4.4 m2.K/W pour les murs en façade ou en pignon, en cas d'isolation par l'extérieur ;
- 3 m2.K/W pour les planchers bas ;
- 7,5 m2.K/W pour les rampants de toiture ;
- 8,5 m2.K/W pour les combles perdus ;
- 6,5 m2.K/W pour les toitures terrasses ;
- 7,5 m2.K/W pour les toitures terrasses inaccessibles.
Pour les menuiseries, le coefficient de transmission thermique est inférieur à 1,3 W/m2.K ;
d) La réalisation d'un test d'étanchéité, réalisé conformément aux modalités définies à l'annexe VII de l'arrêté du 4 août 2021 susvisé, après la première étape dans le but de repérer les principales fuites qu'il conviendra de traiter avant ou pendant la prochaine étape de travaux ;
e) Pour l'obtention du niveau « bâtiment basse consommation rénovation résidentiel, BBC rénovation résidentiel 2024 - première étape », il est interdit d'installer un nouveau système de chauffage qui inclut un ou plusieurs équipements pour lesquels le niveau d'émissions de gaz à effet de serre de chacun est supérieur à 150 gCO2eq/kWh PCI et dont le taux de couverture, tel que défini ci-dessous, est supérieur à 30 %.
Les facteurs d'émissions à considérer pour le calcul des émissions de gaz à effet de serre des équipements de chauffage ou de production d'eau chaude sanitaire sont définis de la même manière qu'au g du 1° du présent article.
Une note de dimensionnement du générateur, par rapport aux déperditions calculées à la température de base, est réalisée par le professionnel en charge de l'installation du système de chauffage.
Le taux de couverture des besoins annuels mentionné au présent article est défini comme le rapport entre la quantité d'énergie fournie par l'équipement ou l'ensemble des équipements dont les émissions de gaz à effet de serre sont supérieures à 150 gCO2eq/kWh PCI et les besoins annuels totaux couverts par le système. Ce taux de couverture, calculé pour le mode de régulation choisi par le professionnel en charge de l'installation, est spécifié dans la note de dimensionnement.
Pour l'application du présent article, la surface considérée est la surface habitable d'un logement telle que définie à l'article 2 de l'arrêté du 31 mars 2021.
Article 3 de l'arrêté du 3 octobre 2023
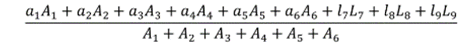
Pour les bâtiments à usage d'habitation, les déperditions thermiques par transmission à travers les parois et les baies du bâtiment, caractérisées par le coefficient moyen de déperdition thermique du bâtiment, appelé Ubat, exprimé en W/(m2.K), sont inférieurs aux déperditions thermiques par transmission à travers les parois et les baies du bâtiment de base, caractérisées par le coefficient moyen de déperdition thermique du bâtiment de référence, appelé Ubat, base exprimé en W/(m2.K).
Le coefficient moyen de déperdition thermique du bâtiment de base s'exprime de la manière suivante :

Les déperditions thermiques de référence sont calculées avec les caractéristiques dimensionnelles A1 à A6 et L7 à L9 du projet définies comme suivant :
| A1 | surface des parois verticales opaques, y compris les parois verticales des combles aménagés et les surfaces projetées des coffres de volets roulants non intégrés dans la baie, à l'exception des surfaces opaques prises en compte dans A5 et A6 |
| A2 | surface des planchers hauts et toitures autres que ceux pris en compte en A3 |
| A3 | surface des planchers hauts donnant sur l'extérieur en béton ou en maçonnerie pour tout bâtiment |
| A4 | surface des planchers bas |
| A5 | surface des portes, exception faite des portes entièrement vitrées |
| A6 | surface des fenêtres, des portes entièrement vitrées, des portes-fenêtres ou des parois transparentes et translucides des bâtiments |
| L7 | linéaire de la liaison périphérique des planchers bas avec un mur |
| L8 | linéaire de la liaison périphérique des planchers intermédiaires ou sous comble aménageable avec un mur |
| L9 | linéaire de la liaison périphérique avec un mur des planchers hauts en béton, en maçonnerie ou à base de tôles métalliques nervurées |
Les surfaces des parois opaques verticales et des baies prennent en compte les spécifications de l'article 18 de l'arrêté du 13 juin 2008 susvisé.
Les surfaces A1 à A6 sont les surfaces intérieures des parois et les linéaires L7 à L9 sont déterminés à partir des dimensions intérieures des locaux. Seules sont prises en compte, pour les déterminations de ces surfaces et de ces linéaires, les parois ou liaisons donnant sur un local chauffé, d'une part, et, d'autre part, sur l'extérieur, un local non chauffé, le sol ou un vide sanitaire.
Dans le cas où la liaison périphérique d'un plancher se situe à la jonction d'un plancher intermédiaire avec un plancher bas ou un plancher haut, le linéaire à prendre en compte est respectivement L7 ou L9.
Les valeurs des coefficients de transmission thermique de référence a1 à a6 et l7 à l9 correspondant respectivement aux caractéristiques dimensionnelles A1 à A6 et L7 à L9 sont données dans le tableau ci-dessous :
| a1 (W/m2K) | 0,27 |
| a2 (W/m2K) | 0,17 |
| a3 (W/m2K) | 0,22 |
| a4 (W/m2K) | 0,33 |
| a5 (W/m2K) | 1,50 |
| a6 (W/m2K) | 1,50 |
| l7 (W/m.K) | 0,50 |
| l8 (W/m.K) | 0,9 |
| l9 (W/m.K) | 0,9 |
Article 4 de l'arrêté du 3 octobre 2023
Pour les bâtiments à usage autre que d'habitation, le label prévu à l'article R. 171-7 du code de la construction et de l'habitation comporte un seul niveau, « bâtiment basse consommation rénovation tertiaire, BBC rénovation tertiaire », qui correspond aux performances minimales suivantes :
a) La consommation conventionnelle d'énergie primaire du bâtiment pour le chauffage, le refroidissement, la production d'eau chaude sanitaire, l'éclairage, et les auxiliaires de chauffage, de refroidissement, d'eau chaude sanitaire et de ventilation, telle que définie à l'article 9 de l'arrêté du 13 juin 2008 susvisé, est inférieure ou égale de 40 % à
la consommation conventionnelle de référence telle que définie à l'article 9 de l'arrêté du 13 juin 2008 susvisé ;
b) La température intérieure conventionnelle atteinte en été du bâtiment respecte les exigences de l'article 12 de l'arrêté du 13 juin 2008.
Article 5 de l'arrêté du 3 octobre 2023
Le label prévu à l'article R. 171-7 du code de la construction et de l'habitation est délivré uniquement à des bâtiments ayant fait l'objet d'une certification au sens des articles L. 115-27 à L. 115-32 et R. 115-1 à R. 115-3 du code de la consommation, qui porte sur la sécurité, la durabilité et les conditions d'exploitation des installations de chauffage, de production d'eau chaude sanitaire, de climatisation et d'éclairage ou encore sur la qualité globale du bâtiment.
Ce label est délivré par un organisme ayant passé une convention spéciale avec l'Etat dans les conditions de l'article 6.
Cet organisme doit, en outre, être accrédité selon la norme NF EN ISO/IEC 17065, pour la certification définie au premier alinéa du présent article, par le Comité français d'accréditation (COFRAC) ou tout autre organisme d'accréditation signataire de l'accord multilatéral pris dans le cadre de la coordination européenne des organismes d'accréditation (European Cooperation for Accreditation, ou EA).
Article 6 de l'arrêté du 3 octobre 2023
Le label prévu à l'article R. 171-7 du code de la construction et de l'habitation est délivré à la demande du maître d'ouvrage.
Le contenu de la demande est défini par le référentiel visé à l'article 1er, et comporte a minima les éléments énoncés en annexe 2.
Les frais de procédure inhérents à l'attribution de ce label sont à la charge de la personne qui les demande.
Article 7 de l'arrêté du 3 octobre 2023
L'organisme mentionné à l'article 5 adresse une demande de convention pour la délivrance du label prévu à l'article R. 171-7 du code de la construction et de l'habitation au ministre chargé de la construction. La demande de convention est accompagnée du référentiel de certification pour lequel l'organisme mentionné à l'article 5 demande l'autorisation de délivrance du label prévu à l'article R. 171-7 du code de la construction et de l'habitation.
Ce référentiel définit le type de bâtiment pour lequel l'organisme est compétent pour délivrer le label prévu à l'article R. 171-7 du code de la construction et de l'habitation, répond aux prescriptions des articles 1er à 4 du présent arrêté et précise l'existence de la convention avec l'Etat l'autorisant à utiliser les mentions « BBC rénovation résidentiel 2024 », « BBC rénovation résidentiel 2024 - 1re étape » ou « BBC rénovation tertiaire ».
La recevabilité de la demande de convention est appréciée à partir des éléments fournis par le demandeur et joints à la demande, au regard notamment de la recevabilité de sa demande d'accréditation par le Comité français d'accréditation, de la pertinence et de la qualité de l'information donnée au consommateur, de la capacité à attester la conformité des bâtiments au label prévu à l'article R. 171-7 du code de la construction et de l'habitation, de l'organisation et de la gestion de l'autocontrôle de l'organisme délivrant le label, de son volume d'activité, de sa couverture territoriale, de sa notoriété, de la nature et de l'importance des contentieux liés à son activité.
La convention autorise la délivrance du label prévu à l'article R. 171-7 du code de la construction et de l'habitation et l'utilisation des mentions « BBC rénovation résidentiel 2024 », « BBC rénovation résidentiel 2024 - 1re étape » ou « BBC rénovation tertiaire », dans le cadre de la certification proposée par l'organisme.
La convention, à durée déterminée, devient caduque en cas de modification des exigences du label prévu à l'article R. 171-7 du code de la construction et de l'habitation et des mentions « BBC rénovation 2024 », « BBC rénovation 2024 - 1re étape » ou « BBC rénovation tertiaire » remettant en cause les critères précités.
Elle peut être résiliée à l'initiative de l'une ou l'autre des parties, sous réserve du respect d'un délai de préavis minimal de 6 mois.
Article 8 de l'arrêté du 3 octobre 2023
Chaque organisme mentionné à l'article 5 établit un rapport annuel rendant compte de son activité. Ce rapport est adressé au ministre chargé de la construction avant le 1er juillet de l'année qui suit l'activité dont il rend compte. Il comporte notamment les éléments indiqués à l'annexe 3.
Article 9 de l'arrêté du 3 octobre 2023
L'arrêté du 29 septembre 2009 relatif au contenu et aux conditions d'attribution du label « haute performance énergétique rénovation » est abrogé au 1er janvier 2024.
Pour les demandes de labellisation déposées avant le 31 décembre 2023, ses dispositions continuent de s'appliquer.
Article 10 de l'arrêté du 3 octobre 2023
Les dispositions du présent arrêté s'appliquent aux demandes de labellisation qui interviennent à compter du 1er janvier 2024.
Article 11 de l'arrêté du 3 octobre 2023
Le directeur de l'habitat, de l'urbanisme et des paysages et la directrice générale de l'énergie et du climat sont chargés, chacun en ce qui le concerne, de l'exécution du présent arrêté, qui sera publié au Journal officiel de la République française.
Fait le 3 octobre 2023.
Le ministre de la transition écologique et de la cohésion des territoires,
Pour le ministre et par délégation :
Le directeur de l'habitat, de l'urbanisme et des paysages,
D. Botteghi
La ministre de la transition énergétique,
Pour la ministre et par délégation :
La directrice du climat, de l'efficacité énergétique et de l'air,
D. Simiu
Le ministre délégué auprès du ministre de la transition écologique et de la cohésion des territoires, chargé du logement,
Pour le ministre et par délégation :
Le directeur de l'habitat, de l'urbanisme et des paysages,
D. Botteghi
Annexe 1 : Modalités minimales de contrôle de conformité au référentiel du label prévu à l'article R. 171-7 du code de la construction et de l'habitation
L'organisme qui délivre le label prévu à l'article R. 171-7 du code de la construction et de l'habitation défini aux articles 2 à 4 procède a minima aux contrôles suivants.
1. Lors de la phase « études »
L'organisme vérifie la recevabilité du dossier et notamment que les performances énergétiques du bâtiment rénové, des matériaux, produits, ouvrages et équipements satisfont aux critères d'attribution du label.
Il vérifie, par sondage, que les hypothèses et données de calcul des performances thermiques correspondent aux données du projet et sont cohérentes. Les vérifications portent en particulier sur les caractéristiques dimensionnelles significatives et sur les performances des produits, matériaux et équipements concourant à l'isolation thermique, aux apports de chaleur et au confort d'été, à la perméabilité à l'air, à la ventilation, au chauffage, à la production d'eau chaude sanitaire, à la climatisation et à l'éclairage des locaux. Les vérifications portent également sur les performances des équipements utilisant de l'énergie renouvelable ou produisant de la chaleur ou de
l'électricité par des énergies renouvelables.
Il vérifie que les modalités de calcul des performances thermiques garantissent la justesse des résultats présentés.
L'organisme peut demander la réalisation de calculs complémentaires.
2. Lors de la phase « chantier »
Le demandeur communique à l'organisme de contrôle toutes modifications apportées au projet initial et le calcul de leur incidence sur les performances énergétiques précitées. Ce dernier vérifie à nouveau que les performances énergétiques du bâtiment, des matériaux, produits, ouvrages et équipements satisfont aux critères d'attribution du label.
L'organisme effectue un contrôle sur site à réception.
A cette occasion, il vérifie :
- l'exposition du bâtiment et les conditions d'environnement prises en compte dans les calculs ;
- par sondage, la conformité aux documents et modélisations fournis, et la bonne mise en œuvre des matériaux, produits et équipements utilisés (matériaux d'isolation des parois, revêtements, ouvrants, installation de chauffage, de climatisation et de production d'eau chaude sanitaire, ventilation, équipements utilisant de l'énergie renouvelable ou produisant de la chaleur ou de l'électricité à partir d'énergies renouvelables). Il signale les éléments qui présentent des caractéristiques manifestement non-conforme.
L'organisme peut contrôler le fonctionnement des installations de chauffage, de refroidissement et de production d'eau chaude sanitaire, en particulier à la mise en service des installations.
L'organisme vérifie que des corrections ont été apportées en réponse aux observations et réserves formulées lors de la phase « études ».
Lorsque le contrôle met en évidence une ou plusieurs non-conformités, le demandeur s'engage à remettre en conformité l'opération concernée dans les plus brefs délais, et au plus tard dans le délai de 12 mois après réception des travaux.
A l'issue du contrôle de conformité phase « chantier », ou une fois toutes les non-conformités levées, l'organisme délivre au demandeur une attestation d'atteinte aux exigences du label relatives aux niveaux atteints.
Le label est définitivement attribué au demandeur par l'organisme à l'issue des deux contrôles de conformité réalisés lors de la phase études et de la phase chantier, et sous réserve de la conformité aux exigences fixées pour les phases « études » et « chantier ».
Annexe 2 : Contenu de la demande de label prévu à l'article R. 171-7 du code de la construction et de l'habitation
Le dossier de demande du label prévu à l'article R. 171-7 du code de la construction et de l'habitation rénovation comporte notamment :
1° Pour les bâtiments à usage d'habitation :
- les plans et métrés décrivant les ouvrages ainsi que le descriptif des travaux de rénovation ;
- la classe de performance énergétique au sens de l'article L. 173-1-1, et la consommation totale d'énergie primaire (Cep) et les émissions de gaz à effet de serre calculés selon la méthode définie par l'arrêté du 31 mars 2021 susvisé, du bâtiment à l'état initial ;
- la classe de performance énergétique au sens de l'article L. 173-1-1, et la consommation totale d'énergie primaire (Cep) et les émissions de gaz à effet de serre calculés selon la méthode définie par l'arrêté du 31 mars 2021 susvisé, du bâtiment après travaux ;
- la performance thermique des éléments de construction au regard des exigences minimales prévues par la réglementation thermique en vigueur ;
- dans les cas où la réglementation thermique en vigueur l'impose, les hypothèses et résultats des calculs, pour chacun des bâtiments rénovés, de leur consommation conventionnelle d'énergie à l'état initial (Cep initial), de leur consommation conventionnelle d'énergie de référence (Cep réf) et de leur consommation conventionnelle d'énergie pour le chauffage, le refroidissement, et la production d'eau chaude sanitaire, au regard du coefficient maximal Cep max) de leur consommation conventionnelle d'énergie (Cep projet) et de leur température conventionnelle atteinte en été (Tic), définis par l'arrêté du 13 juin 2008 susvisé ;
- les références précises et la version des logiciels de calcul utilisés ;
- le cas échéant, l'appartenance du bâtiment à une ou plusieurs des catégories suivantes :
a) Les monuments historiques classés ou inscrits, les sites patrimoniaux remarquables ou les abords des monuments historiques mentionnés au livre VI du code du patrimoine ;
b) Les sites inscrits ou classés mentionnés au livre III du code de l'environnement ;
c) Le bâtiment, immeuble ou ensemble architectural ayant reçu le label mentionné à l'article L. 650-1 du code du patrimoine ;
2° Pour les bâtiments à usage autre que d'habitation :
- les plans et métrés décrivant les ouvrages ainsi que le descriptif des travaux de rénovation ;
- les hypothèses et résultats des calculs, pour chacun des bâtiments rénovés, de leur consommation conventionnelle d'énergie (Cep projet) et de leur température conventionnelle atteinte en été (Tic) ;
- les hypothèses et résultats des calculs, pour chacun des bâtiments rénovés, de leur consommation conventionnelle d'énergie de référence (Cep réf) de leur température conventionnelle atteinte en été de référence (Tic réf) ;
- dans les cas où la réglementation thermique en vigueur l'impose, les hypothèses et résultats des calculs, pour chacun des bâtiments rénovés, de leur consommation conventionnelle d'énergie à l'état initial (Cep initial) ;
- la performance thermique des éléments de construction au regard des exigences minimales prévues par la réglementation thermique en vigueur ;
- les références précises et la version du logiciel de calcul utilisé.
En cas de modification apportée au projet initial par le demandeur, celui-ci communique à l'organisme de certification les modifications apportées et le calcul de leur incidence sur les performances thermiques du bâtiment.
Annexe 3 : Rapport annuel
L'organisme adresse chaque année au ministre chargé de la construction :
- un bilan d'activité donnant le nombre de labels attribués, le niveau recherché, et leur répartition géographique par type de construction, par catégorie de maître d'ouvrage et, si possible, par mode de financement, et le nombre d'abandon, de suspension et de retrait de mention ;
- les décisions de suspension et de retrait de mention résultant de l'absence de mise en conformité des dispositions relatives aux exigences du label ;
- le résultat des contrôles effectués par l'organisme en phase études, puis en phase chantier, et le recensement des principales difficultés rencontrées ;
- le nombre et l'objet des réclamations enregistrées dans l'année, notamment de la part de particuliers ;
- une synthèse présentant les pratiques et progrès techniques observés.