(JO n° 189 du 15 août 2021)
NOR : LOGL2107359A
Texte modifié par :
Arrêté du 18 mars 2026 (JO n° 68 du 20 mars 2026)
Arrêté du 14 août 2024 (JO n° 205 du 29 août 2024)
Arrêté du 22 décembre 2022 (JO n°301 du 29 décembre 2022)
Publics concernés : maîtres d'ouvrage, maîtres d'œuvre, constructeurs et promoteurs, architectes, bureaux d'études thermique et environnement, économistes du bâtiment, contrôleurs techniques, entreprises du bâtiment, industriels des matériaux de construction et des systèmes techniques du bâtiment, fournisseurs d'énergie, en France métropolitaine, éditeurs de logiciels.
Objet : pour les bâtiments neufs et extensions de bâtiments en France métropolitaine, fixation d'exigences sur leurs caractéristiques énergétiques et environnementales ; précisions sur la fixation de leurs performances énergétique et environnementale ; fixation de la méthode de calcul de leurs performances énergétique et environnementale.
Entrée en vigueur : ces exigences, ainsi que la méthode de calcul, s'appliquent à compter du 1er janvier 2022 à la construction de bâtiments ou parties de bâtiments à usage d'habitation, et à partir au 1er juillet 2022 aux constructions de bâtiments ou parties de bâtiments de bureaux, ou d'enseignement primaire ou secondaire. Elles s'appliquent également aux constructions provisoires et extensions en fonction de leur surface répondant aux mêmes usages à compter du 1er janvier 2023. Ces exigences s'appliquent y compris aux constructions ne requérant pas de permis de construire ou de déclaration préalable.
Notice : l'arrêté fixe les exigences de moyens (ou par éléments) que doivent respecter les bâtiments mentionnés ci-avant et situés en France métropolitaine. Il précise la manière de fixer les cinq exigences de résultat (ou globales) suivantes : (1) l'optimisation de la conception énergétique du bâti indépendamment des systèmes énergétiques mis en œuvre ; (2) la limitation de la consommation d'énergie primaire, (3) la limitation de l'impact sur le changement climatique associé à ces consommations ; (4) la limitation de l'impact des composants du bâtiment sur le changement climatique ; (5) la limitation des situations d'inconfort dans le bâtiment en période estivale. Enfin, l'arrêté fixe la méthode de calcul des performances énergétique et environnementale des constructions de bâtiments d'habitation, de bureaux ou d'enseignement primaire ou secondaire en France métropolitaine, au travers de trois annexes :
- ANNEXE II : Règles générales pour le calcul de la performance énergétique et environnementale ;
- ANNEXE III : Méthode de calcul « Th-BCE 2020 », détaillant les règles de calcul de la performance énergétique ;
- ANNEXE IV : Règles « Th-Bat 2020 », permettant de déterminer les données d'entrée aux calculs de la performance énergétique.
Références : le texte modifié par le présent arrêté peut être consulté, dans sa rédaction, sur le site Légifrance (https://www.legifrance.gouv.fr).
Vus
La ministre de la transition écologique et la ministre déléguée auprès de la ministre de la transition écologique, chargée du logement,
Vu la directive 2010/31/UE du Parlement européen et du Conseil du 19 mai 2010 sur la performance énergétique des bâtiments modifiée par la directive 2018/844 du Parlement européen et du Conseil du 30 mai 2018, notamment son article 3 ;
Vu la directive (UE) 2015/1535 du Parlement européen et du Conseil du 9 septembre 2015, prévoyant une procédure d'information dans le domaine des réglementations techniques et des règles relatives aux services de la société de l'information (texte codifié) ;
Vu le code de la construction et de l'habitation, et notamment ses articles L. 181-1, R. 172-1 à R. 172-9 et R. 126-16 ;
Vu le code de l'énergie, et notamment ses articles R. 241-26 et R. 241-30 ;
Vu le code de l'urbanisme, et notamment ses articles L. 151-19, R*. 421-2 et R*. 421-5 ;
Vu l'arrêté du 3 mai 2007 relatif aux caractéristiques thermiques et à la performance énergétique des bâtiments existants liste l'ensemble des travaux visés et donne les exigences associées, modifié par l'arrêté du 22 mars 2017 ;
Vu l'arrêté du 13 juin 2008 relatif à la performance énergétique des bâtiments existants de surface supérieure à 1000 m2, lorsqu'ils font l'objet de travaux de rénovation importants ;
Vu l'arrêté du 26 octobre 2010 relatif aux caractéristiques thermiques et aux exigences de performance énergétique des bâtiments nouveaux et des parties nouvelles de bâtiments ;
Vu l'arrêté du 28 décembre 2012 relatif aux caractéristiques thermiques et aux exigences de performance énergétique des bâtiments nouveaux et des parties nouvelles de bâtiments autres que ceux concernés par l'article 2 du décret du 26 octobre 2010 relatif aux caractéristiques thermiques et à la performance énergétique des constructions ;
Vu l'avis du Conseil supérieur de l'énergie en date du 25 mars 2021 ;
Vu l'avis du Conseil supérieur de la construction et de l'efficacité énergétique en date du 13 avril 2021 ;
Vu les avis du Conseil national d'évaluation des normes en date des 1er avril et 6 mai 2021 ;
Vu les notifications n° 2020/791/F et n° 2020/792/F adressées le 14 décembre 2020 à la Commission européenne et la réponse du 15 juin 2021 de cette dernière ;
Vu les observations formulées lors de la consultation du public réalisée du 23 mars 2021 au 13 avril 2021, en application de l'article L. 123-19-1 du code de l'environnement,
Arrêtent :
Titre Ier : Généralités
Chapitre Ier : Domaine d'application
Article 1er de l'arrêté du 4 août 2021
Les dispositions du présent arrêté sont applicables à la construction de bâtiments et parties de bâtiments à usage d'habitation, de bureaux et d'enseignement primaire ou secondaire soumis à l'article R. 172-1 du code de la construction et de l'habitation, et à la construction de parcs de stationnement associés à ces constructions.
Elles ne s'appliquent pas aux bâtiments situés en Guadeloupe, en Guyane, en Martinique, à La Réunion et à Mayotte.
Article 2 de l'arrêté du 4 août 2021
Une partie de bâtiment peut être assimilée à l'usage principal du bâtiment, avec application des exigences associées, lorsque les conditions cumulatives suivantes sont remplies :
- la surface de référence de la partie de bâtiment considérée est inférieure à 150 m2 et inférieure à 10 % de la surface de référence de l'usage principal du bâtiment ;
- la partie de bâtiment correspondant à l'usage principal est soumise au présent arrêté, ou à l'arrêté du 26 octobre 2010 susvisé, ou à l'arrêté du 28 décembre 2012 susvisé.
Une partie de bâtiment à usage de maison individuelle ne peut être assimilée à un autre usage.
La surface de référence du bâtiment, notée Sref, est définie au X du chapitre I de l'annexe de l'article R. 172-4 du code de la construction et de l'habitation. Sauf mention contraire, il s'agit de la surface utilisée dans l'ensemble du présent arrêté.
Chapitre II : Modalités d'application temporaire
Article 3 de l'arrêté du 4 août 2021
I. Conformément au II de l'article R. 172-1 du code de la construction et de l'habitation, les dispositions du présent arrêté ne s'appliquent qu'à compter du 1er janvier 2023 pour les habitations légères de loisir au sens du b de l'article R.* 421-2 du code de l'urbanisme et pour les constructions provisoires au sens de l'article R.* 421-5 du même code.
II. Conformément à l'article R. 172-3 du code de la construction et de l'habitation, les dispositions du présent arrêté ne s'appliquent qu'à compter du 1er janvier 2023 pour :
- les bâtiments et les extensions de bâtiments ayant une surface de référence inférieure à 50m2 ;
- les extensions de maisons individuelles ou accolées de surface de référence comprise strictement entre 50 m2 et 100 m2 ;
- les extensions d'usage autre que de maison individuelle ayant une surface de référence inférieure à 150 m2 et à 30 % de la surface de référence des locaux existants.
Pour ces bâtiments, et jusqu'au 31 décembre 2022, seules les dispositions de l'arrêté du 26 octobre 2010 susvisé s'appliquent.
Chapitre III : Définitions
Article 4 de l'arrêté du 4 août 2021
Les termes nécessaires à la compréhension du présent arrêté sont définis en annexe I.
Les indicateurs Bbio, Cep, Cep, nr, Icénergie, Icconstruction, DH, Icbâtiment, StockC, Icconstruction et Icded, ainsi que les valeurs maximales Bbio_max, Cep_max, Cep, nr_max, Icénergie_max, Icconstruction_max et DH_max, mentionnés dans le présent arrêté sont définis aux I à IX du chapitre I de l'annexe de l'article R. 172-4 du code de la construction et de l'habitation.
Article 5 de l'arrêté du 4 août 2021
Les bâtiments ou parties de bâtiments soumis au présent arrêté respectent les exigences définies à l'article R. 172-4 du code de la construction et de l'habitation et déterminées selon les modalités précisées à l'annexe de ce même article et à l'article 8 du présent arrêté.
Article 6 de l'arrêté du 4 août 2021
Les caractéristiques techniques minimales de certains composants ou ensembles de composants des bâtiments soumis au présent arrêté respectent les exigences définies au titre III du présent arrêté.
Article 7 de l'arrêté du 4 août 2021
Les bâtiments dont les caractéristiques sont conformes aux modes d'application simplifiés, approuvés dans les conditions décrites au titre IV du présent arrêté, sont réputés respecter les exigences du présent arrêté.
Titre II : Précisions sur l'expression des exigences de performance énergetique et environnementale
Chapitre V : Évaluation du respect des exigences
Article 8 de l'arrêté du 4 août 2021
La méthode de calcul jointe aux annexes II à IV du présent arrêté, et prévue à l'article R. 172-6 du code de la construction et de l'habitation, est approuvée.
Conformément à l'alinéa I de ce même article, cette méthode de calcul détermine la performance énergétique et environnementale du bâtiment, notamment relative aux indicateurs définis aux I à IX du chapitre I de l'annexe de l'article R. 172-4 du même code, à partir des caractéristiques du bâtiment et de ses composants.
En particulier :
- le calcul desdits indicateurs est réalisé en utilisant notamment des données climatiques et d'intensité d'usage conventionnelles ;
- le calcul des indicateurs Bbio, Cep, nr et Cep est réalisé sur une année ;
- les indicateurs d'impact sur le changement climatique Icénergie, Icconstruction et Icbâtiment sont calculés en utilisant notamment les coefficients spécifiés à l'article 11 et en considérant par convention que le bâtiment a une durée de vie de 50 ans ;
- le calcul de l'indicateur Cep, nr tient compte des coefficients définis au I de l'article 9 ;
- le calcul de l'indicateur Cep tient compte des coefficients définis au II de l'article 9 ;
- le calcul de l'indicateur Icénergie tient compte des coefficients définis à l'article 10.
Article 9 de l'arrêté du 4 août 2021
I. Les coefficients de transformation de l'énergie entrant dans le bâtiment en énergie primaire non renouvelable sont utilisés dans la détermination de l'indicateur Cep, nr du présent arrêté, et pris par convention égaux à :
| Type d'énergie importée par le bâtiment | Coefficients de transformation de l'énergie entrant dans le bâtiment en énergie primaire non renouvelable |
|---|
| Bois | 0 |
| Electricité | 2,3 |
| Réseau de chaleur urbain (chaleur) | 1 - Ratio d'énergie renouvelable ou de récupération du réseau (chaleur) |
| Réseau de chaleur urbain (froid) | 1 |
| Gaz méthane (naturel) issu des réseaux | 1 |
| Energie renouvelable captée sur le bâtiment ou la parcelle | 0 |
| Autres énergies | 1 |
Le ratio d'énergie renouvelable ou de récupération des réseaux de chaleur urbains est défini par arrêté pour chaque infrastructure existante.
II. Les coefficients de transformation de l'énergie entrant dans le bâtiment en énergie primaire sont utilisés dans la détermination l'indicateur Cep, et pris par convention égaux à :
| Type d'énergie importée par le bâtiment | Coefficients de transformation de l'énergie entrant dans le bâtiment en énergie primaire |
|---|
| Bois | 1 |
| Electricité | 2,3 |
| Réseau urbain (chauffage) | 1 |
| Réseau urbain (froid) | 1 |
| Gaz méthane (naturel) issu des réseaux | 1 |
| Energie renouvelable captée sur le bâtiment ou la parcelle | 0 |
| Autres énergies | 1 |
Par convention, l'énergie produite par le bâtiment pour le compte d'un réseau, ainsi que l'éventuelle quantité d'énergie importée par le bâtiment pour produire cette énergie, n'affectent pas les indicateurs Cep, nr, Cep et Icénergie du bâtiment.
Article 10 de l'arrêté du 4 août 2021
Les coefficients de transformation de l'énergie entrant dans le bâtiment en quantité de gaz à effet de serre émis sont utilisés dans la détermination de l'indicateur Icénergie et pris par convention égaux à :
| Type d'énergie par kWh EF PCI | kg équivalent CO2 par kilowattheure d'énergie finale en PCI |
|---|
| Bois, biomasse - plaquettes forestière | 0,024 |
| Bois, biomasse - Granulés (pellets) ou briquettes | 0,03 |
| Bois, biomasse - Buche | 0,03 |
| Électricité chauffage | 0,079 |
| Électricité refroidissement | 0,064 |
| Électricité ECS | 0,065 |
| Électricité éclairage tertiaire | 0,064 |
| Électricité éclairage habitation | 0,069 |
| Électricité autres usages | 0,064 |
| Gaz méthane (naturel) issu des réseaux | 0,227 |
| Gaz butane | 0,272 |
| Gaz propane | 0,272 |
| Autres combustibles fossiles | 0,324 |
Le facteur d'émission des réseaux de chaleur ou de froid urbains est défini par arrêté pour chaque infrastructure existante.
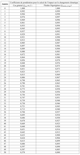
Article 11 de l'arrêté du 4 août 2021
Les coefficients de pondération utilisés pour le calcul des indicateurs d'impact sur le changement climatique Icénergie, Icconstruction, Icded et Icbâtiment, en fonction de l'année d'émission et du type de gaz émis, sont pris par convention égaux à :

Article 12 de l'arrêté du 4 août 2021
Les logiciels qui réalisent tout ou partie du calcul des indicateurs définis aux I à IX du chapitre I de l'annexe de l'article R. 172-4 du code de la construction et de l'habitation dans le but de vérifier le respect de l'article précédemment cité et du présent arrêté, respectent la méthode de calcul mentionnée à l'article 8.
Ils peuvent s'appuyer pour cela sur un outil de calcul des indicateurs Bbio, Cep, nr, Cep et DH mis à disposition sur demande, conformément à l'article L. 121-2 du code de la construction et de l'habitation. Les mises à jour de cet outil sont intégrées dans un délai d'un mois, à compter de leur diffusion, dans les logiciels concernés.
Pour toute utilisation réglementaire de ces logiciels, ceux-ci sont au préalable approuvés par le ministre chargé de l'énergie et le ministre chargé de la construction, permettant notamment de vérifier que les résultats obtenus sont conformes à la méthode de calcul, et que l'interface de saisie minimise le risque d'erreurs de saisie du modélisateur.
A titre transitoire, les logiciels ayant réalisé un autocontrôle pourront être utilisés à des fins réglementaires pour des simulations effectuées jusqu'au 30 juin 2022.
L'annexe V décrit les modalités de réalisation des autocontrôles, et la procédure d'approbation de ces logiciels.
L'approbation est renouvelée, à l'issue d'un réexamen périodique, selon les conditions suivantes :
- la durée de validité de la première approbation est de deux ans ;
- la durée de validité de l'approbation est étendue de cinq ans après un réexamen n'ayant pas relevé d'écarts majeurs à la méthode de calcul en vigueur au moment du dépôt de dossier de réexamen ;
- la durée de validité de l'approbation est étendue entre 2 et 5 ans après un réexamen ayant engendré la correction d'écarts majeurs à la méthode de calcul en vigueur au moment du dépôt de dossier de réexamen.
L'approbation peut à tout moment être retirée, notamment après constat d'un écart majeur à la méthode de calcul en vigueur au moment du constat, ou après constat à au moins trois reprises de l'absence d'intégration de certains systèmes présents dans la méthode de calcul en vigueur au moment du constat.
Article 13 de l'arrêté du 4 août 2021
Les valeurs utilisées comme donnée d'entrée au calcul spécifié à l'article 8 et décrivant des caractéristiques géométriques du bâtiment, correspondent aux plans de construction lorsque le bâtiment n'est pas achevé, ou aux grandeurs effectivement mises en œuvre à l'achèvement des travaux.
Les longueurs, surfaces ou orientations du bâtiment et de ses composants font partie des données décrivant les caractéristiques géométriques du bâtiment.
Article 14 de l'arrêté du 4 août 2021
Les valeurs utilisées comme donnée d'entrée au calcul spécifié à l'article 8 et décrivant des quantités de produits de construction ou équipements utilisés dans le bâtiment, correspondent aux estimations de quantités nécessaires à la construction du bâtiment lorsqu'il n'est pas achevé, ou aux grandeurs effectivement mises en œuvre à l'achèvement des travaux.
Article 15 de l'arrêté du 4 août 2021
I. Les valeurs utilisées comme donnée d'entrée au calcul spécifié à l'article 8 et décrivant des caractéristiques thermiques des composants du bâtiment, correspondent aux caractéristiques des composants prévus pour la construction du bâtiment lorsqu'il n'est pas achevé, ou aux caractéristiques des composants effectivement mises en œuvre à l'achèvement des travaux.
Ces caractéristiques thermiques sont obtenues, pour chaque composant, de la manière suivante :
- si le composant est couvert par des spécifications techniques harmonisées du règlement n° 305/2001 du 9 mars 2011, normes harmonisées ou documents d'évaluation européens, les produits étant identifiés dans ces cas par l'apposition du marquage CE, et si la valeur de la caractéristique thermique est établie dans ces spécifications, cette valeur est utilisée selon les modalités prévues à l'article 8 ;
- sinon, si la caractéristique thermique est obtenue par référence aux normes françaises ou avis techniques ou norme nationale équivalente acceptée par un pays membre de l'Union européenne ou partie contractante de l'accord EEE, ou par la Turquie, et est délivrée par un organisme tierce partie indépendante notifié au titre du règlement n° 305/2011 reconnu par un Etat membre de l'Union européenne ou un Etat partie contractante de l'accord instituant l'Espace économique européen, cette valeur est utilisée selon les modalités prévues à l'article 8. Le bénéfice de cette disposition ne vaut que durant la période précédant l'application d'une norme européenne harmonisée ou agrément technique européen. Quelles que soient les règles d'arrondis établies par ces différentes normes ou avis techniques, la valeur utilisée comme donnée d'entrée ne peut être plus favorable que la valeur obtenue à l'issue de la mesure réalisée, le cas échéant.
A défaut de pouvoir obtenir une valeur de caractéristique selon les modalités ci-dessus, la valeur à utiliser est la valeur par défaut définie par la méthode de calcul mentionnée à l'article 8, à l'exception de la valeur par défaut de la conductivité thermique utile des isolants bio-sourcés définie à l'annexe XII du présent arrêté.
II. Dans les bâtiments à usage d'habitation, dans le cas où, à la livraison du bâtiment, certains travaux d'installation de systèmes énergétiques restent à réaliser, des données par défaut sont à utiliser conformément à la méthode spécifiée à l'article 8.
Article 16 de l'arrêté du 4 août 2021
I. Les valeurs utilisées comme donnée d'entrée au calcul des indicateurs Icconstruction, Icded et Icbâtiment correspondent aux caractéristiques des composants prévus pour la construction lorsque le bâtiment n'est pas achevé, ou aux caractéristiques des composants effectivement mis en œuvre à l'achèvement des travaux. Par dérogation à cette disposition, il est possible d'utiliser une donnée d'entrée correspondant à un composant ayant des caractéristiques supérieures au composant prévu ou mis en œuvre, à condition qu'ils fassent partie de la même gamme du même fabricant.
Ces valeurs sont obtenues, pour chaque composant, sur la base des déclarations environnementales mises à disposition par les fabricants selon des règles fixées par décret, ou en l'absence de telles données au travers de données environnementales par défaut mises à disposition par le ministre chargé de la construction.
Lorsque pour un composant du bâtiment, aucune information répondant aux caractéristiques citées au paragraphe précédent n'est disponible, le composant est décrit dans le calcul et une information environnementale qualifiée de « vide » y est associée ; de plus, une demande de création d'une donnée environnementale par défaut correspondant au composant est faite sur un site internet dont l'adresse est indiquée sur le site du ministère chargé de la construction.
II. Dans le cas où, à la livraison du bâtiment, certains travaux restent à réaliser, des données par défaut sont à utiliser pour décrire ces travaux conformément à la méthode spécifiée à l'article 8.
III. Pour certains ensembles de composants du bâtiment et en fonction de l'usage du bâtiment, il est possible, en remplacement des exigences mentionnées au I et au II du présent article, de décrire leur impact sur le changement climatique au travers de valeurs forfaitaires. Les ensembles de composants concernés et les valeurs correspondantes sont donnés à l'annexe XI.
IV. Les données pouvant être utilisées conformément au I du présent article sont les données disponibles à la date de réalisation du calcul des indicateurs Icconstruction, Icded et Icbâtiment. Toutefois, si des données ont été utilisées lors d'un calcul antérieur de ces indicateurs, puis mises à jour ou supprimées, elles restent utilisables dans les conditions prévues au I du présent article.
Article 17 de l'arrêté du 4 août 2021
I. La valeur de perméabilité à l'air du bâtiment est obtenue :
- pour les bâtiments à usage d'habitation, soit par mesure, soit en adoptant une démarche de qualité de l'étanchéité à l'air du bâtiment conformément aux modalités définies à l'annexe VII du présent arrêté ;
- pour les autres types de bâtiments, la valeur de la perméabilité à l'air du bâtiment peut être justifiée par mesure conformément aux modalités définies à l'annexe VII du présent arrêté. A défaut de mesure selon ces modalités, la valeur à utiliser est la valeur par défaut définie par la méthode de calcul mentionnée à l'article 8 ;
Dans le cas d'une mesure de perméabilité par échantillonnage, les valeurs de mesure obtenues sont multipliées par 1,2.
Dans le cas où des travaux pouvant affecter la perméabilité à l'air des logements restent à réaliser après la livraison, et en l'absence de réservation évitant toute création de fuite lors de ces travaux, les valeurs de perméabilité obtenues sont augmentées de 0,3 m³/(h.m2).
Ces deux augmentations sont cumulables dans cet ordre.
II. Pour tous les bâtiments, la valeur de la perméabilité des réseaux aérauliques est obtenue soit par mesure, soit en adoptant une démarche de qualité de l'étanchéité à l'air des réseaux aérauliques, conformément aux modalités définies à l'annexe VII du présent arrêté. A défaut de mesure et de démarche qualité selon ces modalités, la valeur à utiliser est la valeur par défaut définie par la méthode de calcul mentionnée à l'article 8.
Lorsque la perméabilité à l'air du bâtiment ou la perméabilité des réseaux aérauliques est justifiée par la mesure, la personne réalisant la mesure est une personne reconnue compétente par le ministre chargé de la construction, indépendante du demandeur et des organismes impliqués en exécution, maîtrise d'œuvre ou maîtrise d'ouvrage sur les bâtiments visés.
Chapitre VI : Justification de l'application des exigences
Article 18 de l'arrêté du 4 août 2021
Le maître d'ouvrage établit, en version informatique, à partir d'un logiciel respectant les exigences de l'article 12, au plus tard à l'achèvement des travaux, un récapitulatif standardisé d'étude énergétique et environnementale.
Le contenu et le format du récapitulatif standardisé d'étude énergétique et environnementale à établir sont décrits en annexe VI.
Dans le cas, relevant du titre IV du présent arrêté, de l'application des exigences du présent arrêté selon un procédé ou un mode d'application simplifié approuvé, le procédé ou le mode d'application simplifié précise le contenu et le format du récapitulatif standardisé d'étude énergétique et environnementale à établir.
Ces données sont conservées et transmises par le maître d'ouvrage conformément à l'article R. 172-8 du code de la construction et de l'habitation.
Titre III : Caractéristiques thermiques et exigences de moyens (Par élément)
Article 19 de l'arrêté du 4 août 2021
(Arrêté du 22 décembre 2022, article 2)
Pour les maisons individuelles ou accolées et les bâtiments collectifs d'habitation, la perméabilité à l'air de l'enveloppe sous 4 Pa, Q4Pa-surf, déterminée conformément à l'article 17, est inférieure ou égale à :
0,60 m³/(h.m2) de parois déperditives, hors plancher bas, en maison individuelle ou accolée.
1,00 m³/(h.m2) de parois déperditives, hors plancher bas, en bâtiment collectif d'habitation.
« Les dispositions du présent article ne s'appliquent pas aux constructions temporaires implantées pour une durée n'excédant pas quatre ans. »
Article 20 de l'arrêté du 4 août 2021
Dans les bâtiments et parties de bâtiments à usage d'habitation, afin de s'assurer qu'il fonctionne correctement, tout système de ventilation du bâtiment est vérifié, et ses performances sont mesurées par une personne reconnue compétente par le ministre chargé de la construction, conformément aux dispositions prévues à l'annexe VIII. Il respecte le protocole de vérification des systèmes de ventilation mentionné à la même annexe.
Chapitre VIII : Isolation thermique
Article 21 de l'arrêté du 4 août 2021
Les parois séparant des parties de bâtiment à occupation continue de parties de bâtiments à occupation discontinue présentent un coefficient de transmission thermique, U, tel que défini dans la méthode de calcul mentionnée à l'article 8, qui ne peut excéder 0,36 W/(m2.K) en valeur moyenne. La surface considérée ici est la surface des parois susmentionnées.
Article 22 de l'arrêté du 4 août 2021
Afin d'éviter tout risque de dégradation physique ou microbiologique des matériaux, comme par exemple le tassement d'un isolant ou le développement de moisissures, tout bâtiment ou partie de bâtiment est conçu et construit de façon à éviter, en conditions normales d'occupation, toute situation permettant l'apparition ponctuelle ou répartie de condensation en surface ou à l'intérieur des parois, sauf si celle-ci n'est que passagère.
Pour cela, il respecte l'une des exigences du I ou du II du présent article :
I. Il présente, en conditions hivernales, une température de surface au nu intérieur et au droit du nu intérieur de l'isolant, en tout point de ces surfaces, supérieure à 15 °C.
II. Il répond simultanément aux exigences suivantes :
- le ratio de transmission thermique linéique moyen global, Ratio ψ, des ponts thermiques du bâtiment n'excède pas 0,33 W/ (m2 Sref. K).
Ce ratio représente les déperditions thermiques de l'ensemble des ponts thermiques du bâtiments, rapportées à la surface de référence du bâtiment. Il est déterminé conformément à la méthode de calcul mentionnée à l'article 8.
- le coefficient de transmission thermique linéique moyen des liaisons entre les planchers intermédiaires et les murs donnant sur l'extérieur ou un local non chauffé, Ψ 9, n'excède pas 0,6 W/ (m linéaire. K).
Chapitre IX : Accès a l'éclairage naturel
Article 23 de l'arrêté du 4 août 2021
Afin d'assurer un éclairage naturel et une vue sur l'extérieur suffisants, les bâtiments à usage d'habitation respectent l'une des exigences spécifiées au I ou au II du présent article.
I. Chaque logement présente l'ensemble des caractéristiques suivantes :
- un niveau d'éclairement d'au moins 300 lx sur 50 % des locaux, à l'exception des locaux à occupation passagère, dans plus de la moitié des heures éclairées par la lumière du jour dans l'année ;
- un niveau d'éclairement d'au moins 100 lx sur 95 % des locaux, à l'exception des locaux à occupation passagère, dans plus de la moitié des heures éclairées par la lumière du jour dans l'année ;
- dans au moins une pièce principale au sens du R. 111-1 du code de la construction et de l'habitation, l'occupant a, à une distance d'au moins 1 mètre de la façade, une vue sur l'extérieur permettant de visualiser à la fois le ciel et l'horizon.
II. La surface totale des baies, mesurée en tableau, est supérieure ou égale à 1/6 de la surface de référence.
Si la surface de façade disponible du bâtiment est inférieure à la moitié de la surface habitable du bâtiment, ou si la surface habitable moyenne des logements du bâtiment est inférieure à 25 m2, il peut, à la place des exigences précédentes, avoir une surface totale des baies, mesurée en tableau, supérieure ou égale au tiers de la surface de façade disponible.
Le présent article ne s'applique pas lorsque son respect est en contradiction avec l'autorisation d'urbanisme dans les secteurs sauvegardés, les zones de protection du patrimoine architectural, urbain et paysager ou les aires de mise en valeur de l'architecture et du patrimoine, les abords des monuments historiques, les sites inscrits et classés, les sites inscrits sur la liste du patrimoine mondial de l'humanité de l'UNESCO ou tout autre préservation édictée par les collectivités territoriales, ainsi que pour les sites et secteurs désignés par l'article L. 151-19 du code de l'urbanisme.
Chapitre X : Confort d'été
Article 24 de l'arrêté du 4 août 2021
A l'exception des baies des locaux à occupation passagère, les baies ont un facteur solaire inférieur ou égal au facteur solaire défini dans le tableau ci-après, la protection solaire étant, le cas échéant, considérée en position totalement déployée :
| Zones H2a | Toutes altitudes | | |
| Zones H1a, H1b et H2b | Altitude > 400 m | Altitude < ou = 400 m | |
| Zones H1c et H2c | Altitude > 800 m | Altitude < ou = 800 m | |
| Zones H2d et H3 | | Altitude > 400 m | Altitude < ou = 400 m |
| 1. Baies exposées BR1 - locaux destinés au sommeil |
| Baie verticale nord | 0,65 | 0,45 | 0,25 |
| Baie verticale autre que nord | 0,45 | 0,25 | 0,15 |
| Baie horizontale | 0,25 | 0,15 | 0,10 |
| 2. Baies exposées BR2 ou BR3 - locaux destinés au sommeil |
| Baie verticale nord | 0,45 | 0,25 | 0,25 |
| Baie verticale autre que nord | 0,25 | 0,15 | 0,15 |
| Baie horizontale | 0,15 | 0,10 | 0,10 |
| 3. Baies exposées BR1 - hors locaux destinés au sommeil |
| Baie verticale autre que nord | 0,65 | 0,45 | 0,25 |
| Baie horizontale | 0,45 | 0,25 | 0,15 |
| 4. Baies exposées - BR2 ou BR3 hors locaux destinés au sommeil |
| Baie verticale autre que nord | 0,45 | 0,25 | 0,25 |
| Baie horizontale | 0,25 | 0,15 | 0,15 |
Les baies qui ne sont exposées à aucun rayonnement solaire direct du mois d'avril au mois d'octobre, du fait de masques solaires lointains, peuvent n'appliquer que les exigences fixées pour les baies orientées au nord.
Article 25 de l'arrêté du 4 août 2021
Sauf si les règles d'hygiène ou de sécurité l'interdisent, les baies d'un même local autre qu'à occupation passagère s'ouvrent sur au moins 30 % de leur surface totale.
Cette limite est ramenée à 10 % dans le cas des locaux pour lesquels la différence d'altitude entre le point bas de son ouverture la plus basse et le point haut de son ouverture la plus haute est égale ou supérieure à 4 m.
Chapitre XI : Consommations d'énergie
Article 26 de l'arrêté du 4 août 2021
Tout automatisme engendrant une augmentation des consommations énergétiques :
- est conçu et mis en œuvre de manière à ne présenter un déclenchement de l'automatisme que lorsqu'il est nécessaire ;
- est soit temporisé, soit programmé de manière à arrêter automatiquement l'augmentation des consommations énergétiques, dès qu'elle n'est plus nécessaire ;
- peut être adapté par le futur gestionnaire de bâtiment selon les conditions d'occupation du bâtiment.
Les automatismes ne permettent le déclenchement automatique de l'éclairage artificiel dans les logements, les bureaux, les salles de réunion, les salles de classe, les salles polyvalentes, qu'après une action manuelle de l'occupant dans ou à proximité immédiate du local concerné, réalisée moins de 6 heures auparavant.
Article 27 de l'arrêté du 4 août 2021
Les bâtiments ou parties de bâtiments à usage d'habitation sont équipés de systèmes permettant de mesurer ou d'estimer la consommation d'énergie de chaque logement, excepté pour les consommations des systèmes individuels au bois en maison individuelle ou accolée.
En cas de production collective d'énergie, on entend par énergie consommée par le logement la part de la consommation totale d'énergie dédiée à ce logement selon une clé de répartition à définir par le maître d'ouvrage lors de la réalisation du bâtiment.
Ces systèmes permettent d'informer les occupants, a minima mensuellement, de leur consommation d'énergie.
Cette information est délivrée dans le volume habitable, par type d'énergie, a minima selon la répartition suivante :
- chauffage ;
- refroidissement ;
- production d'eau chaude sanitaire ;
- réseau prises électriques ;
- autres.
Cette répartition peut être basée soit sur des données mesurées, soit sur des données estimées à partir d'un paramétrage préalablement défini.
Toutefois, dans le cas d'un maître d'ouvrage qui est également le futur propriétaire bailleur du bâtiment construit, notamment les maîtres d'ouvrage de logements locatifs sociaux, cette information peut être délivrée aux occupants, a minima mensuellement, par voie électronique ou postale et non pas directement dans le volume habitable.
La justification de la prise en compte du présent article est effectuée conformément au guide Systèmes de mesure ou estimation des consommations en logement, qui en précise les modalités d'application.
Article 28 de l'arrêté du 4 août 2021
Les bâtiments ou parties de bâtiment à usage autre que d'habitation sont équipés de systèmes permettant de mesurer ou de calculer la consommation d'énergie :
- pour le chauffage : par tranche de 500 m2 de surface concernée ou par tableau électrique, ou par étage, ou par départ direct ;
- pour le refroidissement : par tranche de 500 m2 de surface concernée ou par tableau électrique, ou par étage, ou par départ direct ;
- pour la production d'eau chaude sanitaire ;
- pour l'éclairage : par tranche de 500 m2 de surface concernée ou par tableau électrique, ou par étage ;
- pour le réseau des prises de courant : par tranche de 500 m2 surface concernée ou par tableau électrique, ou par étage ;
- pour les centrales de ventilation : par centrale ;
- par départ direct de plus de 80 ampères.
Chapitre XII : Chauffage et refroidissement
Article 29 de l'arrêté du 4 août 2021
Une installation de chauffage comporte par local desservi un ou plusieurs dispositifs d'arrêt manuel et de réglage automatique en fonction de la température intérieure de ce local.
Toutefois, lorsque le chauffage est assuré par un plancher chauffant à eau chaude fonctionnant à basse température ou par l'air insufflé ou par un appareil indépendant de chauffage à bois, ce dispositif peut être commun à des locaux d'une surface totale maximum de 100 m2.
Le réglage automatique est programmé de manière à respecter les exigences de l'article R. 241-26 du code de l'énergie.
Article 30 de l'arrêté du 4 août 2021
Dans le cas des bâtiments ou parties de bâtiment à usage autre que d'habitation, toute installation de chauffage desservant des locaux à occupation discontinue comporte un dispositif de commande manuelle et de programmation automatique au moins par une horloge permettant :
- une fourniture de chaleur selon les quatre allures suivantes : confort, réduit, hors gel et arrêt ;
- une commutation automatique entre ces allures.
Lors d'une commutation entre deux allures, la puissance de chauffage est nulle ou maximum de façon à minimiser les durées des phases de transition.
Un tel dispositif ne peut être commun qu'à des locaux dont les horaires d'occupation sont similaires. Un même dispositif peut desservir au plus une surface de 5 000 m2.
Article 31 de l'arrêté du 4 août 2021
Les réseaux collectifs de distribution à eau de chauffage ou de refroidissement sont munis d'un organe d'équilibrage en pied de chaque colonne.
Les pompes des installations de chauffage et des installations de refroidissement sont munies de dispositifs permettant leur arrêt.
Article 32 de l'arrêté du 4 août 2021
Une installation de refroidissement comporte, par local desservi, un ou plusieurs dispositifs d'arrêt manuel et de réglage automatique de la fourniture de froid en fonction de la température intérieure.
Toutefois :
- lorsque le froid est fourni par un système à débit d'air variable, ce dispositif peut être commun à des locaux d'une surface totale maximale de 100 m2 sous réserve que la régulation du débit soufflé total se fasse sans augmentation de la perte de charge ;
- lorsque le froid est fourni par un plancher rafraîchissant, ce dispositif peut être commun à des locaux d'une surface totale maximale de 100 m2 ;
- pour les systèmes de « ventilo-convecteurs deux tubes froid seul », l'obligation du premier alinéa est considérée comme satisfaite lorsque chaque ventilateur est asservi à la température intérieure et que la production et la distribution d'eau froide sont munies d'un dispositif permettant leur programmation ;
- pour les bâtiments ou parties de bâtiment à usage d'habitation rafraîchis par refroidissement de l'air neuf sans accroissement des débits traités au-delà du double des besoins d'hygiène, l'obligation du premier alinéa est considérée comme satisfaite si la fourniture de froid est, d'une part, régulée au moins en fonction de la température de reprise d'air et la température extérieure et, d'autre part, est interdite en période de chauffage.
Le réglage automatique est programmé de manière à respecter les exigences de l'article R. 241-30 du code de l'énergie.
Article 33 de l'arrêté du 4 août 2021
Les portes d'accès à une zone refroidie sont équipées d'un dispositif assurant leur fermeture après passage.
Article 34 de l'arrêté du 4 août 2021
Avant émission finale dans le local, sauf dans le cas où le chauffage est obtenu par récupération sur la production de froid, l'air n'est pas chauffé puis refroidi, ou inversement, par des dispositifs utilisant de l'énergie et destinés par conception au chauffage ou au refroidissement de l'air.
Chapitre XIII : Éclairage
Article 35 de l'arrêté du 4 août 2021
Dans les circulations, les parties communes intérieures verticales et horizontales et les parcs de stationnement, toute installation d'éclairage comporte, pour chaque local, un dispositif automatique permettant, lorsque le local ou le parc de stationnement est inoccupé :
- soit l'abaissement de l'éclairement au niveau minimum réglementaire ;
- soit l'extinction des sources de lumière artificielle, si aucune réglementation n'impose un niveau minimal.
De plus, lorsque le local a accès à l'éclairage naturel, il intègre un dispositif permettant une extinction automatique du système d'éclairage dès que l'éclairement naturel est suffisant.
Un même dispositif dessert au plus :
- une surface maximale de 100 m2 et un seul niveau pour les circulations horizontales et les parties communes intérieures ;
- trois niveaux pour les circulations verticales ;
- un seul niveau et au plus une surface de 500 m2 pour les espaces de stationnement.
Article 36 de l'arrêté du 4 août 2021
Dans les bâtiments ou parties de bâtiment à usage autre que d'habitation, tout local est équipé d'un dispositif d'allumage et d'extinction de l'éclairage manuel, ou automatique en fonction de la présence.
Article 37 de l'arrêté du 4 août 2021
Dans les bâtiments ou parties de bâtiment à usage autre que d'habitation, tout local dont la commande de l'éclairage est du ressort de son personnel de gestion, même durant les périodes d'occupation, comporte un dispositif permettant allumage et extinction de l'éclairage. Si ce dispositif n'est pas situé dans le local considéré, il permet de visualiser l'état de l'éclairage dans ce local depuis le lieu de commande.
Article 38 de l'arrêté du 4 août 2021
Dans les bâtiments ou parties de bâtiment à usage autre que d'habitation, dans un même local, les points éclairés artificiellement, qui sont placés à moins de 5 m d'une baie, sont commandés séparément des autres points d'éclairage dès que la puissance totale installée dans chacune de ces positions est supérieure à 200 W.
Chapitre XIV : Ventilation
Article 39 de l'arrêté du 4 août 2021
Dans le cas des bâtiments ou parties de bâtiment à usage autre que d'habitation, la ventilation des locaux ou groupes de locaux ayant des occupations ou des usages nettement différents est assurée par des systèmes indépendants.
Article 40 de l'arrêté du 4 août 2021
Dans le cas des bâtiments ou parties de bâtiment à usage autre que d'habitation équipé de systèmes mécanisés spécifiques de ventilation, tout dispositif de modification manuelle des débits d'air d'un local est temporisé.
Titre IV : Proposition de modes d'application simplifiés en maison individuelle
Article 41 de l'arrêté du 4 août 2021
Un mode d'application simplifié est une combinaison de caractéristiques architecturales, de performances énergétiques et environnementales des ouvrages et équipements attachée à une famille définie de bâtiments, réputée valoir respect des dispositions des titres Ier à III du présent arrêté pour tous les bâtiments de cette famille.
Le recours à un mode d'application simplifié ne peut se faire qu'en l'utilisant sous sa forme intégrale.
Article 42 de l'arrêté du 4 août 2021
La proposition d'un mode d'application simplifié est adressée au ministre chargé de l'énergie et au ministre chargé de la construction, accompagnée d'un dossier d'études composé comme indiqué en annexe IX.
Titre V : Cas particuliers
Article 43 de l'arrêté du 4 août 2021
Dans le cas où la méthode de calcul mentionnée à l'article 8 ne prend pas en compte les spécificités d'un projet de construction, une demande d'approbation du projet est adressée au ministre chargé de l'énergie et au ministre chargé de la construction.
Dans les cas suivants, une demande d'approbation de la méthode de calcul de la performance du système ou du réseau de chaleur ou de froid peut être adressée au ministre chargé de l'énergie et au ministre chargé de la construction :
- si la méthode de calcul mentionnée à l'article 8 ne prend pas en compte les spécificités d'un système ;
- si un réseau de chaleur ou de froid urbain est créé ;
- si des travaux de modification d'un réseau de chaleur ou de froid sont susceptibles d'engendrer une évolution importante de son facteur d'émission prévu à l'article 10.
Les demandes d'approbation sont accompagnées d'un dossier d'études composé comme indiqué en annexe X qui établit notamment en quoi la méthode de calcul mentionnée à l'article 8 ne prend pas en compte les spécificités du projet de construction ou du système, le cas échéant.
L'approbation d'un projet de construction n'est pas obligatoire lorsqu'une attestation de respect des objectifs, au sens de l'article L. 112-9 et portant sur un autre sujet que la performance énergétique, prévoit les données d'entrées spécifiques à la solutions d'effet équivalent concernée permettant d'appliquer la méthode de calcul mentionnée à l'article 8.
Article 44 de l'arrêté du 4 août 2021
Le ministre chargé de l'énergie et le ministre chargé de la construction peuvent approuver la proposition de prise en compte du projet de construction, du système ou du réseau de chaleur ou de froid, après avis d'une commission d'experts constituée à cet effet.
Pour les créations de réseaux de chaleur ou de froid urbains, l'approbation est valable pour une durée maximale de trois ans ; pour les travaux de modification de réseaux de chaleur ou de froid urbains, l'approbation est valable pour une durée maximale de cinq ans, renouvelable deux ans après avis d'une commission d'experts.
Titre VI : Dispositions diverses
Article 45 de l'arrêté du 4 août 2021
Lorsqu'un bâtiment ou une partie de bâtiment est livré sans système de chauffage, il est évalué avec un système de chauffage par défaut tel que prévu dans la méthode mentionnée à l'article 8. Si aucun système de chauffage par défaut n'est prévu dans la méthode pour le bâtiment considéré, il peut ne respecter que les exigences de moyens définies au titre III, et les exigences définies aux 1°, 4° et 5° de l'article R. 172-4 du code de la construction et de l'habitation et déterminées selon les modalités précisées à l'annexe de ce même article.
Article 46 de l'arrêté du 4 août 2021
I. Les exigences définies dans les arrêtés du 26 octobre 2010 et du 28 décembre 2012 susvisés sont présumées respectées dès lors que les exigences définies à l'article R. 172-4 du code de la construction et de l'habitation et déterminées selon les modalités précisées à l'annexe de ce même article, ainsi que les exigences définies par le présent arrêté, sont satisfaites.
II. Les exigences définies dans les arrêtés du 13 juin 2008 et du 3 mai 2007 susvisés sont présumées respectées dès lors que les exigences définies aux 1° à 3° et 5° de l'article R. 172-4 du code de la construction et de l'habitation et déterminées selon les modalités précisées à l'annexe de ce même article, ainsi que les exigences définies au Titre III du présent arrêté, sont satisfaites.
Article 47 de l'arrêté du 4 août 2021
Les dispositions du présent arrêté ne peuvent compromettre les mesures législatives et réglementaires prises en matière de santé, de salubrité, d'hygiène et de sécurité en vigueur.
Article 48 de l'arrêté du 4 août 2021
Dans les articles 11 et 12 de l'arrêté du 26 octobre 2010 susvisé, les mots « 1er septembre 2021 » sont remplacés par « 31 décembre 2021 ».
Article 49 de l'arrêté du 4 août 2021
I. L'article 10 de l'arrêté du 26 octobre 2010 et l'article 10 de l'arrêté du 28 décembre 2012 susvisés sont remplacés par :
« Art. 10. Au plus tard à partir du 1er janvier 2013, les logiciels utilisés pour réaliser les calculs de Cep, de Bbio et de Tic devront avoir été évalués par le ministre chargé de la construction et par le ministre chargé de l'énergie, selon la procédure définie à l'annexe X. A l'issue de cette évaluation, un rapport d'évaluation est délivré. Cette évaluation devra être réexaminée tous les deux ans, à la date d'anniversaire de la remise du rapport d'évaluation, ou au moins une fois à compter du 1er janvier 2018. »
II. Au début du 5 de l'annexe X de l'arrêté du 26 octobre 2010 susvisé, et au début du 5 de l'annexe VI de l'arrêté du 28 décembre 2012 susvisé, il est ajouté la phrase suivante : « Le paragraphe suivant ne s'applique pas aux logiciels ayant fait l'objet d'un réexamen de l'évaluation après le 1er janvier 2018. »
Article 50 de l'arrêté du 4 août 2021
A la fin de l'article 49 de l'arrêté du 26 octobre 2010 susvisé, et à la fin de l'article 39 de l'arrêté du 28 décembre 2012 susvisé, il est ajouté le paragraphe suivant :
« L'agrément d'un projet de construction n'est pas obligatoire lorsqu'une attestation de respect des objectifs, au sens de l'article L. 112-9 du code de la construction et de l'habitation et portant sur un autre sujet que la performance énergétique, prévoit les données d'entrées spécifiques à la solutions d'effet équivalent concernée permettant d'appliquer la méthode de calcul Th-B-C-E 2012. »
(Arrêté du 22 décembre 2022, article 3)
« Chapitre XV : Exigences alternatives pour les constructions temporaires »
(Arrêté du 22 décembre 2022, article 3)
« Article 50-1 de l'arrêté du 4 août 2021 »
(Arrêté du 14 août 2024, article 2)
I. Les exigences alternatives prévues à l'article R. 172-2 du code de la construction et de l'habitation, pouvant être appliquées à la place des résultats minimaux fixés à l'article R. 172-4 du même code, sont précisées :
au II du présent article pour les parties de bâtiments entièrement constituées de locaux démontables ou transportables dont la fabrication est achevée avant le 1er juillet 2023 ;
au III du présent article dans les autres cas.
En cas d'application de ces exigences alternatives, les dispositions du titre III du présent arrêté ne s'appliquent pas, à l'exception des cas spécifiés aux II. et III. du présent article.
II.
1. A compter du 1er juillet 2023 et jusqu'au 31 décembre 2027, la puissance installée pour l'éclairage est inférieure ou égale à 1,6 watt par mètre carré de surface utile et par tranche de niveaux d'éclairement moyen à maintenir de 100 lux sur la zone à éclairer.
2. A compter du 1er janvier 2028, la puissance installée pour l'éclairage est inférieure ou égale à 1 watt par mètre carré de surface utile et par tranche de niveaux d'éclairement moyen à maintenir de 100 lux sur la zone à éclairer.
3. A compter du 1er janvier 2040, les niveaux d'exigence spécifiés aux 2 et 3 du III du présent article sont respectés, à l'exception du dernier alinéa du 3 du III du présent article.
III. Cumulativement :
1 Les coefficients de transmission thermique des parois en contact avec l'extérieur ou un volume non chauffé, exprimés en watts par mètre carré de surface de la paroi considérée et par Kelvin (W/ [m2. K]), sont inférieurs ou égaux aux valeurs données dans le tableau suivant, selon le type de paroi et la date de construction, ou de fabrication pour les locaux démontables ou transportables :
| Type de paroi | Coefficient de transmission thermique A compter du 01/07/2023 | Coefficient de transmission thermique A compter du 01/01/2025 | Coefficient de transmission thermique A compter du 01/01/2028 |
|---|
| Murs | 0,65 | 0,47 | 0,26 |
| Plancher haut | 0,32 | 0,22 | 0,22 |
| Plancher bas | 0,32 | 0,22 | 0,22 |
| Parois vitrées | 1,7 | 1,7 | 1,4 |
| Portes | 2 | 2 | 2 |
2. A compter du 1er juillet 2023 :
- les articles 24 et 26 du présent arrêté sont respectés ;
- à l'exception des locaux à usage d'habitation, les portes donnant sur l'extérieur sont munies d'un ferme-porte ou d'un dispositif assurant leur fermeture automatique ;
- la puissance installée pour l'éclairage est inférieure ou égale à 1 watt par mètre carré de « surface de référence » et par tranche de niveaux d'éclairement moyen à maintenir de 100 lux sur la zone à éclairer ;
- les radiateurs et convecteurs disposent de régulation présentant une variation temporelle, telle que définie dans la méthode de calcul en annexe III du présent arrêté, inférieure à 0,6 K lorsqu'ils sont utilisés en mode chauffage et supérieure à (-0,6 K) lorsqu'ils sont utilisés en mode refroidissement ;
| Type de paroi | Coefficient de transmission thermique A compter du 01/07/2023 | Coefficient de transmission thermique A compter du 01/01/2025 | Coefficient de transmission thermique A compter du 01/01/2028 |
|---|
| Murs | 0,65 | 0,47 | 0,26 |
| Plancher haut | 0,32 | 0,22 | 0,22 |
| Plancher bas | 0,32 | 0,22 | 0,22 |
| Parois vitrées | 1,7 | 1,7 | 1,4 |
| Portes | 2 | 2 | 2 |
2. A compter du 1er juillet 2023 :
- les articles 24 et 26 du présent arrêté sont respectés ;
- à l'exception des locaux à usage d'habitation, les portes donnant sur l'extérieur sont munies d'un ferme-porte ou d'un dispositif assurant leur fermeture automatique ;
- la puissance installée pour l'éclairage est inférieure ou égale à 1 watt par mètre carré de « surface de référence » et par tranche de niveaux d'éclairement moyen à maintenir de 100 lux sur la zone à éclairer ;
- les radiateurs et convecteurs disposent de régulation présentant une variation temporelle, telle que définie dans la méthode de calcul en annexe III du présent arrêté, inférieure à 0,6 K lorsqu'ils sont utilisés en mode chauffage et supérieure à (-0,6 K) lorsqu'ils sont utilisés en mode refroidissement ;
- toute installation de chauffage ou de refroidissement comporte, par local desservi, un ou plusieurs dispositifs d'arrêt manuel, de réglage automatique en fonction de la température intérieure de ce local, et d'arrêt automatique en cas d'ouverture des fenêtres du local desservi.
Le réglage automatique est programmé de manière à respecter les exigences des articles R. 241-26 et R. 241-30 du code de l'énergie ;
- les exigences de moyens définies aux articles 24, 26, 33, 36, 37, 42, 43, 45 et 46 de l'arrêté du 3 mai 2007 susvisé sont respectées.
3. A compter du 1er janvier 2025 :
- les systèmes de génération de chaleur pour le chauffage génèrent, en moyenne, au moins 1 kWh de chaleur par kWh d'énergie primaire non renouvelable consommée ;
- les systèmes de génération de chaleur, lorsqu'ils alimentent un stockage d'eau chaude sanitaire présentant un volume supérieur à 90 litres, génèrent au minimum 1 kWh de chaleur par kWh d'énergie primaire non renouvelable consommée, pour une température extérieure de 7° C ;
- les exigences de moyens définies aux articles 28 et 38 à 40 de l'arrêté du 3 mai 2007 susvisé sont respectées.
4. A compter de 2028, l'article 22 du présent arrêté est respecté.
(Arrêté du 22 décembre 2022, article 4)
« Chapitre XVI : Exigences alternatives pour les constructions de petite surface et les extensions »
(Arrêté du 22 décembre 2022, article 4)
« Article 50-2 de l'arrêté du 4 août 2021 »
« Pour les extensions, quelle que soit leur surface de référence, les dispositions suivantes ne s'appliquent pas :
« - l'article 19 du présent arrêté ;
« - l'article 20 du présent arrêté ;
« - l'article 22 du présent arrêté, pour le premier niveau créé en surélévation ;
« - les articles 27 et 28 du présent arrêté, lorsque le système énergétique de la partie existante est utilisé pour alimenter l'extension.
« Pour les extensions, quelle que soit leur surface de référence, les dispositions de l'article 23 du présent arrêté peuvent être vérifiées à l'échelle du bâtiment, au lieu de la seule extension. »
(Arrêté du 22 décembre 2022, article 4)
« Article 50-3 de l'arrêté du 4 août 2021 »
(Arrêté du 14 août 2024, article 2 et Arrêté du 18 mars 2026, article 1er I 1° à 3°)
Le présent article ne s'applique pas aux habitations légères de loisirs, au sens de l'article R. 111-37 du code de l'urbanisme, d'une surface inférieure à 50 m2.
I. Les exigences alternatives prévues à l'article R. 172-3 du code de la construction et de l'habitation, pouvant être appliquées à la place des résultats minimaux fixés à l'article R. 172-4 du même code, sont précisées :
- au II du présent article pour les extensions à usage de maison individuelle de surface de référence comprise strictement entre 50 et 80 m2 « et les surélévations à usage autre que de maison individuelle de surface de référence comprise strictement entre 50 et 150 m2 et supérieure à 30 % de la surface de référence des locaux existants, ainsi que les surélévations à usage autre que de maison individuelle de surface de référence supérieure 150 m2 et inférieure à 30 % de la surface de référence des locaux existants » ;
- au III du présent article pour :
- les constructions et extensions « , y compris les surélévations, » de surface de référence inférieure à 50 m2 ;
- les extensions « , y compris les surélévations, » à usage autre que de maison individuelle de surface de référence comprise strictement entre 50 et 150 m2, et inférieure à 30 % de la surface de référence des locaux existants.
La surface considérée pour l'application du présent I est le cumul des surfaces des différentes extensions d'un même bâtiment, le cas échéant.
En cas d'application de ces exigences alternatives, les dispositions du titre III du présent arrêté ne s'appliquent pas, à l'exception des cas spécifiés aux II et III du présent article.
La surface considérée, aux II et III du présent article, pour les coefficients de transmission thermique, est la surface de la paroi considérée.
Nota : Les exigences rédigées en gras/italique au I du présent article s'appliquent à compter du 1er juillet 2026
II. Cumulativement :
1. Les 1°, 4° et 5° de l'article R. 172-4 du code de la construction et de l'habitation sont respectés. Toutefois, pour les surélévations climatisées « de maisons individuelles » situées en zones H2d ou H3, la valeur DHmaxcat est portée à 1400 DH.
Nota : Les exigences rédigées en gras/italique au II du présent article s'appliquent à compter du 1er juillet 2026
2. Les articles 23 à 26, et 29 du présent arrêté sont respectés ; l'article 22 du présent arrêté est respecté, sauf pour le premier niveau créé en surélévation.
III. Les dispositions du 1 à 6 ci-après ne s'appliquent qu'aux parois des locaux chauffés ou refroidis, donnant sur l'extérieur ou en contact avec le sol, aux parois des locaux chauffés donnant sur un volume non chauffé, et aux parois des locaux refroidis donnant sur un volume non refroidi.
Pour les extensions, les dispositions du 9 à 11 ci-après ne s'appliquent qu'aux équipements installés pour alimenter ces extensions.
Cumulativement :
1. Les performances thermiques des composants du bâtiment ou de la partie de bâtiment respectent les performances minimales fixées par les articles 1er à 4,7, et 9 à 12 de l'arrêté du 17 novembre 2020 susvisé, dans sa version applicable au 1er juillet 2022.
2. Le coefficient de transmission thermique des planchers bas est inférieur ou égal à 0,33 W/ (m2. K).
3. Le coefficient de transmission thermique des portes non soumises à l'article 9 de l'arrêté du 17 novembre 2020 susvisé est inférieur ou égal à 1,7 W/ (m2. K).
4. Le coefficient de transmission thermique des verrières, calculé conformément à la partie 3.2.15 de l'annexe IV du présent arrêté, est inférieur à 2.5 W/ (m2. K).
5. Le coefficient de transmission thermique des vérandas, calculé conformément à la partie 3.2.16 de l'annexe IV du présent arrêté, est inférieur à :
- 2.1 W/ (m2. K) à compter du 1er janvier 2023 ;
-1.8 W/ (m2. K) à compter du 1er janvier 2025.
6. Le coefficient de transmission thermique des lanterneaux en contact avec l'extérieur ou un volume non chauffé est inférieur ou égal à :
- 2 W/ m2. K pour les lanterneaux d'éclairage ponctuels fixes ;
- 2,5 W/ m2. K pour les lanterneaux ponctuels ouvrants et les lanterneaux continus fixes et ouvrants.
7. Le bâtiment ou la partie de bâtiment respecte les exigences de l'article 24 du présent arrêté.
8. Le ratio de transmission thermique linéique moyen global, Ratio ψ, des ponts thermiques du bâtiment ou de la partie de bâtiment, au sens de l'article 22 du présent arrêté, n'excède pas 0,6 W/ (m2 Sref. K) ; cette exigence ne s'applique pas au premier niveau créé en surélévation.
9. Les émetteurs de chauffage à effet Joule possèdent les fonctions suivantes :
- régulation ayant une amplitude inférieure à 0,3 K et une dérive inférieure à 1 K ;
- détection automatique et intégrée à l'appareil de l'ouverture d'une fenêtre par passage en mode “ arrêt chauffage ” ou “ hors-gel ” ;
- détection automatique d'absence intégrée à l'appareil par réduction d'allure et passage progressif jusqu'au mode “ éco ” ;
- indication de surconsommation par information visuelle du consommateur ayant a minima 3 niveaux de consommation basés sur la température de consigne et représentés par des couleurs.
Un émetteur électrique possédant une certification NF Electricité-performance catégorie 3* œil est réputé satisfaire les exigences du présent 9.
10. Les radiateurs et convecteurs disposent d'une régulation présentant une variation temporelle, telle que définie dans la méthode de calcul en annexe III du présent arrêté, inférieure à 0,6 K lorsqu'ils sont utilisés en mode chauffage et supérieure à (-0,6 K) lorsqu'ils sont utilisés en mode refroidissement.
11. Pour les pompes à chaleur de type air/ air de puissance calorifique nominale inférieure ou égale à 12 kW, les coefficients de performance selon le règlement (UE) 206/2012 de la Commission du 6 mars 2012 portant application de la directive 2009/125/ CE du Parlement européen et du Conseil en ce qui concerne les exigences d'écoconception applicables aux climatiseurs et aux ventilateurs de confort sont supérieurs ou égaux à :
- 4,2 pour le coefficient de performance saisonnier (SCOP) ;
- 6 pour l'efficacité énergétique saisonnière (SEER).
Pour les pompes à chaleur de type air/ air d'une puissance calorifique nominale supérieure à 12 kW, les efficacités énergétiques saisonnières (Etas) selon le règlement (UE) 2016/2281 de la Commission du 30 novembre 2016 mettant en œuvre la directive 2009/125/ CE du Parlement européen et du Conseil établissant un cadre pour la fixation d'exigences en matière d'écoconception applicables aux produits liés à l'énergie, en ce qui concerne les exigences d'écoconception applicables aux appareils de chauffage à air, aux appareils de refroidissement, aux refroidisseurs industriels haute température et aux ventilo-convecteurs sont supérieures ou égales à :
- pour une pompe à chaleur (hors pompe à chaleur en toiture) :
- 145 % pour le chauffage des locaux ;
- 250 % pour le refroidissement des locaux.
- pour une pompe à chaleur en toiture (rooftop) intégrant le chauffage, le refroidissement, la ventilation, le rafraîchissement par surventilation nocturne et la filtration :
- 130 % pour le chauffage des locaux ;
- 150 % pour le refroidissement des locaux.
12. La puissance installée pour l'éclairage est inférieure ou égale à 1 watt par mètre carré de « surface de référence » et par tranche de niveaux d'éclairement moyen à maintenir de 100 lux sur la zone à éclairer.
13. Les article 26, 29 et 32 du présent arrêté sont respectés.
14. Les exigences de moyens définies aux articles 13, 21 à 24, 26, 28, 32, 34, 36 à 40, 42, 43, 45 et 46 de l'arrêté du 3 mai 2007 susvisé sont respectées.
(Arrêté du 22 décembre 2022, article 4)
« Article 50-4 de l'arrêté du 4 août 2021 »
(Arrêté du 14 août 2024, article 1er I à VII)
I. Pour les habitations légères de loisirs, au sens de l'article R. 111-37 du code de l'urbanisme, d'une surface inférieure à 50 m2, les exigences alternatives prévues à l'article R. 172-3 du code de la construction et de l'habitation, pouvant être appliquées à la place des résultats minimaux fixés à l'article R. 172-4 du même code, sont précisées :
- au II du présent article :
- pour celles à la fois non chauffées, ne présentant pas de conduit de fumées, et dont l'installation électrique ne permet pas l'installation d'un système de chauffage ;
- pour celles mentionnées au b de l'article R. * 421-2 du code de l'urbanisme ;
- pour les autres habitations légères de loisirs d'une surface inférieure à 50 m2 dont la fabrication est achevée avant le 1er janvier 2023 ;
au III du présent article pour les autres habitations légères de loisirs d'une surface inférieure à 50 m2.
En cas d'application de ces exigences alternatives, les dispositions du titre III du présent arrêté ne s'appliquent pas, à l'exception des cas spécifiés au III. du présent article.
II. La puissance installée pour l'éclairage est inférieure ou égale à 1 watt par mètre carré de « surface de référence » et par tranche de niveaux d'éclairement moyen à maintenir de 100 lux sur la zone à éclairer.
III. Cumulativement :
« 1. Les coefficients de transmission thermique des parois en contact avec l'extérieur ou un volume non chauffé, exprimés en watts par mètre carré de surface de la paroi considérée et par Kelvin (W/ [m2. K]), sont inférieurs ou égaux aux valeurs données dans le tableau suivant, selon le type de paroi et la date de fabrication :
«
| Type de paroi | Coefficient de transmission thermique A compter du 01/01/2023 | Coefficient de transmission thermique A compter du 01/01/2028 |
|---|
| Murs | 0,65 | 0,47 |
| Plancher haut | 0,32 | 0,22 |
| Plancher bas | 0,32 | 0,22 |
| Parois vitrées | 1,7 | 1,7 |
| Portes | 2 | 2 |
».
2. A compter du 1er janvier 2023 :
« - les articles 24 et 26 du présent arrêté sont respectés. Toutefois, l'article 24 ne s'applique pas aux baies présentant un facteur solaire inférieur à 0,55 et :
« - qui sont protégées sur toute leur largeur augmentée de 30 cm de chaque côté, par une casquette d'au moins 1,5 m de profondeur ; ou
« - qui sont protégées sur toute leur largeur par une casquette d'au moins 1,5 m de profondeur et qui sont protégées de chaque côté et sur toute leur hauteur par des protections solaires verticales perpendiculaires à la baie d'au moins 30 cm de profondeur ; »
- la puissance installée pour l'éclairage est inférieure ou égale à 1 watt par mètre carré de « surface de référence » et par tranche de niveaux d'éclairement moyen à maintenir de 100 lux sur la zone à éclairer ;
« - les émetteurs de chauffage possèdent une détection automatique d'absence par réduction d'allure et passage progressif jusqu'au mode “ arrêt chauffage ” ou “ hors-gel ”. Un émetteur électrique possédant une certification NF électricité-performance catégorie 3* œil est réputé satisfaire cette exigence ; »
- les radiateurs et convecteurs disposent de régulation présentant une variation temporelle, telle que définie dans la méthode de calcul en annexe III du présent arrêté, inférieure à 0,6 K lorsqu'ils sont utilisés en mode chauffage et supérieure à (-0,6 K) lorsqu'ils sont utilisés en mode refroidissement ;
- toute installation de chauffage ou de refroidissement comporte, par local desservi, un ou plusieurs dispositifs d'arrêt manuel, de réglage automatique en fonction de la température intérieure de ce local, et d'arrêt automatique en cas d'ouverture des fenêtres du local desservi :
- Le réglage automatique est programmé de manière à respecter les exigences des articles R. 241-26 et R. 241-30 du code de l'énergie ;
- les exigences de moyens définies aux articles 24,26,33,36,37 et 42 de l'arrêté du 3 mai 2007 susvisé sont respectées.
3. A compter du 1er janvier 2025 :
« - lorsque la puissance totale des systèmes de chauffage du bâtiment est supérieure à 1 kW, ces systèmes de chauffage génèrent, en moyenne, au moins 1 kWh de chaleur par kWh d'énergie primaire non renouvelable consommée. »
- les systèmes de génération de chaleur, lorsqu'ils alimentent un stockage d'eau chaude sanitaire présentant un volume supérieur à 90 litres, génèrent au minimum 1 kWh de chaleur par kWh d'énergie primaire non renouvelable consommée, pour une température extérieure de 7° C ;
- les exigences de moyens définies à l'article 28 de l'arrêté du 3 mai 2007 susvisé sont respectées.
Article 51 de l'arrêté du 4 août 2021
(Arrêté du 22 décembre 2022, article 5)
I. Les dispositions des articles 48 à 50 entrent en vigueur le lendemain de la publication du présent arrêté.
II. Les dispositions « des articles 1er à 47 » entrent en vigueur au 1er janvier 2022.
« III. Les dispositions des articles 50-2, 50-3 et 50-4 entrent en vigueur au 1er janvier 2023.
« IV. Les dispositions de l'article 50-1 entrent en vigueur au 1er juillet 2023. »
Article 52 de l'arrêté du 4 août 2021
Le présent arrêté sera publié au Journal officiel de la République française.
Fait le 4 août 2021.
La ministre déléguée auprès de la ministre de la transition écologique, chargée du logement,
Pour la ministre et par délégation :
Le directeur de l'habitat, de l'urbanisme et des paysages,
F. Adam
La ministre de la transition écologique,
Pour la ministre et par délégation :
Le directeur de l'habitat, de l'urbanisme et des paysages,
F. Adam
Le directeur général de l'énergie et du climat,
L. Michel
Annexes
(Arrêté du 22 décembre 2022, articles 6 à 8)
A consulter en pdf