(JO n° 300 du 28 décembre 2023)
NOR : ENER2328400A
Vus
Le ministre de l'économie, des finances et de la souveraineté industrielle et numérique et la ministre de la transition énergétique,
Vu le code de l'énergie, notamment ses articles L. 314-1 à L. 314-13 et R. 314-1 à R. 314-23 ;
Vu le décret n° 2016-691 du 28 mai 2016 définissant les listes et les caractéristiques des installations mentionnées aux articles L. 314-1, L. 314-2, L. 314-18, L. 314-19 et L. 314-21 du code de l'énergie ;
Vu l'arrêté du 6 octobre 2021 fixant les conditions d'achat de l'électricité produite par les installations implantées sur bâtiment, hangar, ou ombrière utilisant l'énergie solaire photovoltaïque, d'une puissance crête installée inférieure ou égale à 500 kilowatts telles que visées au 3° de l'article D. 314-15 du code de l'énergie et situées en métropole continentale ;
Vu l'arrêté du 28 juillet 2022 modifiant l'arrêté du 6 octobre 2021 fixant les conditions d'achat de l'électricité produite par les installations implantées sur bâtiment, hangar, ou ombrière utilisant l'énergie solaire photovoltaïque, d'une puissance crête installée inférieure ou égale à 500 kilowatts telles que visées au 3° de l'article D. 314-15 du code de l'énergie et situées en métropole continentale ;
Vu l'arrêté du 8 février 2023 modifiant l'arrêté du 6 octobre 2021 fixant les conditions d'achat de l'électricité produite par les installations implantées sur bâtiment, hangar ou ombrière utilisant l'énergie solaire photovoltaïque, d'une puissance crête installée inférieure ou égale à 500 kilowatts telles que visées au 3° de l'article D. 314-15 du code de l'énergie et situées en métropole continentale ;
Vu l'arrêté du 4 juillet 2023 modifiant l'arrêté du 6 octobre 2021 fixant les conditions d'achat de l'électricité produite par les installations implantées sur bâtiment, hangar ou ombrière utilisant l'énergie solaire photovoltaïque, d'une puissance crête installée inférieure ou égale à 500 kilowatts telles que visées au 3° de l'article D. 314-15 du code de l'énergie et situées en métropole continentale ;
Vu l'avis du Conseil supérieur de l'énergie en date du 12 octobre 2023 ;
Vu l'avis de la Commission de régulation de l'énergie en date du 19 octobre 2023,
Arrêtent :
Article 1er de l'arrêté du 22 décembre 2023
L'arrêté du 6 octobre 2021 est modifié conformément aux dispositions des articles 2 à 18 du présent arrêté.
Article 2 de l'arrêté du 22 décembre 2023
L'article 1er est ainsi modifié :
I. La seconde phrase du troisième alinéa est supprimée.
II. Un quatrième alinéa ainsi rédigé est ajouté :
« Pour les installations ayant déposé une première demande de raccordement jusqu'au 31 mars 2024, la méthodologie de calcul du bilan carbone, l'étiquetage des modules photovoltaïques et les certificats attestant du bilan carbone doivent être conformes soit aux annexes 6 et 6 bis, soit aux annexes 6 ter et 6 quater. Pour les installations ayant déposé une première demande complète de raccordement à compter du 1er avril 2024, la méthodologie de calcul, l'étiquetage des modules photovoltaïques et les certificats attestant du bilan carbone doivent être conformes aux annexes 6 ter et 6 quater. »
Article 3 de l'arrêté du 22 décembre 2023
L'article 2 est ainsi modifié :
I. Dans la cinquième définition intitulée « Hangar », le groupe de mots : « , y compris les abris de type “volière” » est supprimé. Après les mots : « typologie de couvert », sont ajoutés les mots : « tant que celui-ci assure la protection contre les intempéries ».
II. Dans la seizième définition intitulée « Plaquettes de silicium », le mot : « lingot » est remplacé par le mot : « brique ».
Article 4 de l'arrêté du 22 décembre 2023
L'article 4 est ainsi modifié :
I. Au 1°, les mots : « y compris » sont remplacés par les mots : « y compris, si besoin » ;
II. Au 5°, les mots : « le certificat » sont remplacés par les mots : « la date limite de validité, le type d'attestation et la référence du certificat » ;
III. Au 8°, les mots : « l'avis technique favorable » sont remplacés par les mots : « le procédé photovoltaïque choisi parmi les avis techniques favorables de la part de la commission d'experts dédiée aux procédés photovoltaïques, adossée au Centre scientifique et technique du bâtiment (CSTB) ».
IV. Entre le quatrième et le cinquième alinéa du 9°, il est ajouté, à la ligne, le paragraphe :
« Lors de la demande de raccordement, le producteur s'engage sur l'honneur à ne pas avoir effectué une demande de raccordement pour la même installation dans les 18 mois précédant cette demande. »
Article 5 de l'arrêté du 22 décembre 2023
L'article 5 est ainsi modifié :
I. Au 3°, les termes : « du propriétaire » sont remplacés par les termes : « du ou des propriétaires », les termes : « du titre de propriété » sont remplacés par les termes : « du ou des titres de propriétés » et les termes :
« , soit tout autre document attestant de la propriété du terrain listé en annexe 8 » sont remplacés par les mots : « . La liste des autres documents pouvant être utilisés pour attester de la propriété du terrain ou de la propriété du bâtiment, hangar et ombrière figure en annexe 8 ».
II. Au 4°, les mots : « la copie » sont remplacés par les mots : « de la copie ».
III. Le 5° est remplacé par les dispositions suivantes :
« 5° Pour les installations supérieures à 100 kWc, du bilan carbone de l'installation photovoltaïque, réalisé selon la méthodologie conforme aux dispositions de l'article 1er. Cette évaluation est réalisée par un organisme certificateur disposant d'une accréditation selon la norme EN ISO 17065 ainsi qu'une accréditation EN ISO 17025 portant sur le produit module photovoltaïque (IEC 61215 et IEC 61730 en cours de validité ou toute autre méthode équivalente), délivrées par l'instance nationale d'accréditation, ou l'instance nationale d'accréditation d'un autre Etat membre de l'Union européenne, membre de la coopération européenne pour l'accréditation et ayant signé les accords de reconnaissance mutuelle multilatéraux. »
IV. L'article 5 est complété par un 8° ainsi rédigé :
« 8° Sur demande de l'acheteur obligé, si nécessaire, le certificat attestant de la qualification ou de la certification professionnelle de l'installateur conformément aux dispositions de l'annexe 5. »
Article 6 de l'arrêté du 22 décembre 2023
L'article 6 est ainsi modifié :
I. Entre le huitième et le neuvième alinéa, il est inséré un alinéa ainsi rédigé :
« - le cas échéant, que l'installation a été réalisée suivant l'un des procédés ouvrant droit à la prime d'intégration paysagère définie à l'article 8 du présent arrêté ; ».
II. Entre le dixième et le onzième alinéa, il est inséré un alinéa ainsi rédigé :
« A défaut de l'attestation de l'entreprise ayant réalisé les travaux, le producteur joint à son attestation sur l'honneur une attestation délivrée par un organisme agréé au titre de l'article R. 311-33 du code de l'énergie dont le modèle se trouve en Annexe 9. »
Article 7 de l'arrêté du 22 décembre 2023
Au second alinéa du II l'article 7, les mots : « l'article 5 » sont remplacés par les mots : « l'article 3 »
Article 8 de l'arrêté du 22 décembre 2023
Entre le quatrième et le cinquième alinéa de l'article 14, est inséré un alinéa ainsi rédigé :
« - publie en ligne, pour les installations de puissance supérieure à 100kWc bénéficiant de Tc, les valeurs de l'indexation possibles prévues au II de l'article 8 et les tarifs Tc résultant. »
Article 9 de l'arrêté du 22 décembre 2023
L'annexe 1 est remplacée par les dispositions suivantes :
« ANNEXE 1
« TARIFS D'ACHAT ET PRIMES
« 1. Conformément à l'article R. 314-17 du code de l'énergie, l'énergie active est facturée à l'acheteur obligé sur la base des tarifs définis ci-dessous. Ils sont exprimés en c€/kWh hors TVA.
« 2. Il est défini un coefficient Si et un coefficient S'i selon les dispositions suivantes :
«


« Avec les données d'entrée définies de la façon suivante :
« - l'indice i correspond au trimestre civil de calcul ; le trimestre civil durant lequel l'arrêté tarifaire est entré en vigueur correspond à l'indice i = 0 ;
« - PPDR trim a,i est, sur l'ensemble du territoire métropolitain, la somme des puissances crêtes des conventions de raccordement signées pour les installations éligibles au tarif Ta et des demandes complètes de raccordement pour les installations éligibles à la prime Pa ;
« - PPDR tot a,i est le cumul des puissances PPDR trim a,i pour les trimestres civils allant de 5 à i>4 ;
« - PPPE trim a = 37,92MWc ;
« - a1 = 0,0145 (1,45 %) ;
« - a2 = 0,04 (4 %) ;
« - les coefficients S1, S2, S3, S4, S'1, S'2, S'3, S'4, S'5 sont égaux à 0.
« 3. Il est défini un coefficient Vi et un coefficient V'i selon les dispositions suivantes :
«


« Avec les données d'entrée définies de la façon suivante :
« - l'indice i correspond au trimestre civil de calcul, le trimestre civil durant lequel l'arrêté tarifaire est entré en vigueur correspond à l'indice i = 0 ;
« - PPDR trim b,i est, sur l'ensemble du territoire métropolitain, la somme des puissances crêtes des conventions de raccordement signées pour les installations éligibles au tarif Tb et des demandes complètes de raccordement pour les installations éligibles à la prime Pb ;
« - PPDR tot b,i est le cumul des puissances PPDR trim b,i pour les trimestres civils allant de 5 à i>4 ;
« - PPPE trim,b = 56,88MWc ;
« - a1 et a2 définis au 2 de la présente annexe ;
« - les coefficients V1, V2, V3, V4, V'1, V'2, V'3, V'4, V'5, sont égaux à 0.
« 4. Il est défini un coefficient Wi et un coefficient W'i selon les dispositions suivantes :
«


« Avec les données d'entrée définies de la façon suivante :
« - l'indice i correspond au trimestre civil de calcul ; le trimestre civil durant lequel l'arrêté est entré en vigueur correspond à l'indice i = 0 ;
« - PPDR trim c,i est, sur l'ensemble du territoire métropolitain, la somme des puissances crêtes des conventions de raccordement signées pour les installations éligibles au tarif Tc ;
« - PPDR tot c,i est le cumul des puissances PPDR trim c,i pour les trimestres civils allant de 5 à i>4 ;
« - PPPE trim,c= 221,2MWc ;
« - a1 et a2 définis au 2 de la présente annexe ;
« - les coefficients W1, W2, W3, W4, W'1, W'2, W'3, W'4, W'5, sont égaux à 0.
« 5. Pour chaque installation, il est défini une puissance Q, exprimée en kWc et définie comme la puissance installée de l'ensemble des autres installations raccordées ou en projet sur le même site d'implantation que l'installation objet du contrat d'achat, et dont les demandes complètes de raccordement au réseau public de distribution ont été déposées dans les 18 mois avant ou après la date de demande complète de raccordement au réseau public de distribution de l'installation objet du contrat d'achat.
« La notion de “même site” est évaluée au regard des définitions de l'article 2 et des dispositions de l'annexe 3 du présent arrêté.
« 6. Pour une installation de vente avec injection en totalité éligible au tarif Ta au sens de l'article 8 du présent arrêté, le tarif d'achat, exprimé en c€/kWh, applicable lorsque le producteur a effectué la demande complète de raccordement durant le trimestre tarifaire qui suit le trimestre civil d'indice N, est défini par la formule suivante :

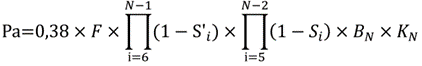
« Pour une installation de vente avec injection du surplus éligible à la prime Pa au sens de l’article 8 du présent arrêté, la prime à l’investissement, exprimée en €/Wc, applicable lorsque le producteur a effectué la demande complète de raccordement durant le trimestre tarifaire qui suit le trimestre civil d’indice N, est définie par la formule suivante :

« formules dans lesquelles les coefficients E et F sont définis en fonction de la puissance crête de l'installation, notée P et exprimée en kWc, et de la puissance Q définie au 5 de la présente annexe, de la façon suivante :
« - si P + Q est supérieure à 9 kWc, alors E = 0 et F = 0 ;
« - si P + Q est supérieure à 3 kWc et inférieure ou égal à 9 kWc, alors E = 0,85 et F = 0,75 ;
« - si P + Q est inférieure ou égal à 3 kWc, alors E = 1 et F = 1.
« Le trimestre civil durant lequel l'arrêté est entré en vigueur correspond à l'indice N = 0, le suivant correspond à l'indice N = 1 et ainsi de suite ; le trimestre précédent le trimestre N = 0 correspond à l'indice N = - 1.
« Le paramètre BN est égal à 0,9975N-6 si N est supérieur à 6, à 1 sinon ;
« Le paramètre KN est un coefficient d'indexation établi comme suit lorsque la demande complète de raccordement est effectuée durant le trimestre tarifaire qui suit le trimestre civil d'indice N :
« KN = K3 × (1 + 4 × (TauxDette - TauxDette0)) × (0,35 × (ICHTREV - TS / ICHTREV - TS0) + 0,54 × (FM0ABE0000 / FM0ABE00000) + 0,04 × (IndexAlu / IndexAlu0) + 0,01 × (InexCu / IndexCu0) + 0,05 × (IndexAcier / IndexAcier0) + 0,01 × (IndexTransport / IndexTransport0))
« formule dans laquelle :
« 1° K3 le coefficient d'indexation calculé pour le trimestre civil N = 3 avec la formule d'indexation en vigueur dans la version antérieure de l'arrêté du 6 octobre 2021 ;
« 2° TauxDette est la moyenne des dernières valeurs définitives connues des indices Iboxx Corporates 10-15 ans sur les 3 mois civils précédents le premier jour du trimestre civil d'indice N-1 ;
« 3° ICHTrev-TS est la dernière valeur définitive connue au premier jour du trimestre civil d'indice N, de l'indice du coût horaire du travail révisé (tous salariés) dans les industries mécaniques et électriques ;
« 4° FM0ABE0000 est la dernière valeur définitive connue au premier jour du trimestre civil d'indice N, de l'indice des prix à la production de l'industrie française pour le marché français, ensemble de l'industrie, A10 BE,
prix départ usine ;
« 5° IndexAlu est la dernière valeur définitive connue au premier jour du trimestre civil d'indice N, de l'indice de prix de production de l'industrie française pour le marché français − CPF 24.42 − Aluminium 010534657 ;
« 6° IndexCu est la dernière valeur définitive connue au premier jour du trimestre civil d'indice N, de l'indice de prix de production de l'industrie française pour le marché français − CPF 24.44 − Cuivre 010534659 ;
« 7° IndexAcier est la dernière valeur définitive connue au premier jour du trimestre civil d'indice N, de l'indice de prix de production de l'industrie française pour le marché français − CPF 24.10 − Acier pour la construction 010536462 ;
« 8° IndexTransport est la dernière valeur définitive connue au premier jour du trimestre civil d'indice N, de l'indice des prix de production des services français aux entreprises françaises (BtoB) − CPF 50A − Transport maritime et côtier 010546102 ;
« 9° TauxDette0 est la dernière valeur définitive connue de l'indice TauxDette au 1er avril 2022 s'entendant comme la moyenne des indices Iboxx Corporates 10-15 ans sur le premier trimestre civil 2022.
« 10° ICHTrev-TSo, FM0ABE00000, IndexAlu0, IndexCu0, IndexAcier0 et IndexTransport0 sont les dernières valeurs définitives de ces indices au 1er juillet 2022.
« Cette formule s'applique aux projets pour lesquels la demande complète de raccordement a été déposée à partir du 1er novembre 2022 et pour les projets éventuellement modifiés dans les conditions indiquées au 10° du I de l'article 7 lorsque la demande de modification intervient après le 1er novembre 2022. Pour les autres projets, ce sont les dispositions de l'arrêté du 6 octobre 2021 dans sa version antérieure qui s'appliquent. Le cas échéant, les valeurs du tarif Ta et de la prime Pa, calculées sans arrondi intermédiaire, sont arrondies à la seconde décimale.
« 7. Pour une installation de vente avec injection en totalité éligible au tarif Tb au sens de l'article 8 du présent arrêté, le tarif d'achat, exprimé en c€/kWh, applicable lorsque le producteur a effectué la demande complète de raccordement durant le trimestre tarifaire qui suit le trimestre civil d'indice N, est défini par la formule suivante :

« Pour une installation de vente avec injection du surplus éligible à la prime Pb au sens de l'article 8 du présent arrêté, la prime à l'investissement, exprimée en €/Wc, applicable lorsque le producteur a effectué la demande complète de raccordement durant le trimestre tarifaire qui suit le trimestre civil d'indice N, est définie par la formule suivante :

« formules dans lesquelles :
« Le trimestre civil durant lequel l'arrêté est entré en vigueur correspond à l'indice N = 0, le suivant correspond à l'indice N = 1 et ainsi de suite ; le trimestre précédent le trimestre N = 0 correspond à l'indice N = - 1.
« Le paramètre BN est égal à 0,9975N-6si N est supérieur à 6, à 1 sinon ;
« Le paramètre KN correspond au coefficient d'indexation défini au 6 de la présente annexe.
« Les coefficients E et F sont définis en fonction de la puissance crête de l'installation, notée P et exprimée en kWc, et de la puissance Q définie au 5 de la présente annexe, de la façon suivante :
« - si P + Q est supérieure à 100 kWc, alors E = 0 et F = 0 ;
« - si P + Q est supérieure à 36 kWc et est inférieure ou égale à 100 kWc, alors E = 1 et F = 1 ;
« - si P + Q est inférieure ou égale à 36 kWc, alors E = 1,15 et F = 2.
« Le cas échéant, les valeurs du tarif Tb et de la prime Pb, calculée sans arrondi intermédiaire, sont arrondies à la seconde décimale.
« 8. Pour une installation éligible au tarif Tc au sens de l'article 8 du présent arrêté, le tarif d'achat, exprimé en c€/kWh, applicable lorsque le producteur a effectué la demande complète de raccordement durant le trimestre tarifaire qui suit le trimestre civil d'indice N, est défini par la formule suivante :

« formule dans laquelle :
« Le trimestre civil durant lequel l'arrêté est entré en vigueur correspond à l'indice N = 0, le suivant correspond à l'indice N = 1 et ainsi de suite ; le trimestre précédent le trimestre N = 0 correspond à l'indice N = - 1 ;
« Le paramètre BN est égal à 0,9975N-6 si N est supérieur à 6, à 1 sinon.
« Le paramètre KN correspond au coefficient d'indexation défini au 6 de la présente annexe.
« Le coefficient E est défini en fonction de la puissance crête de l'installation, notée P et exprimée en kWc, et de la puissance Q définie au 5 de la présente annexe, de la façon suivante :
« - si P + Q est supérieure à 500 kWc, alors E = 0 ;
« - si P + Q est inférieure ou égal à 500 kWc, alors E = 1.
« Le cas échéant, la valeur du tarif Tc, calculée sans arrondi intermédiaire, est arrondie à la seconde décimale.
« 9. Pour une installation éligible à la prime à l'intégration paysagère au sens de l'article 8 du présent arrêté, la prime à l'investissement (exprimée en €/Wc) est définie de la façon suivante :
«
| Segment de puissance (kWc) |
prime à l'intégration paysagère (€/Wc) |
| Pour les installations dont la demande complète de raccordement a été déposée à compter de la date d'entrée en vigueur de l'arrêté et jusqu'à la veille de la première date anniversaire de son entrée en vigueur, dans la limite d'un volume de 30 MW |
Pour les installations dont la demande complète de raccordement a été déposée à compter de la première date anniversaire d'entrée en vigueur de l'arrêté et jusqu'à la veille de la seconde date anniversaire de son entrée en vigueur, dans la limite d'un volume de 115 MW |
| inférieure ou égale à 100 kWc |
0,238 |
0,133 |
| Supérieure strictement à 100 et inférieure ou égale à 250 kWc |
0,235 |
0,128 |
| Supérieure strictement à 250 et inférieure ou égale à 500 kWc |
0,233 |
0,125 |
« La puissance prise en compte pour déterminer le niveau de la prime est la puissance de l'installation cumulée avec les puissances installées de l'ensemble des autres installations raccordées ou en projet sur le même site d'implantation qui bénéficient également de la prime à l'intégration paysagère au titre d'une demande déposée dans le même intervalle de temps entre deux dates anniversaires de la date d'entrée en vigueur du présent arrêté.
« La notion de “même site” est évaluée au regard des définitions de l'article 2 et des dispositions de l'annexe 3 du présent arrêté. »
Article 10 de l'arrêté du 22 décembre 2023
L'annexe 3 est ainsi modifiée :
I. Le second alinéa est remplacé par l'alinéa ainsi rédigé :
« Une installation répartie sur plusieurs bâtiments, éventuellement détenus par des propriétaires différents, est éligible au présent arrêté. Pour le calcul de la puissance Q, définie au 5. de l'annexe 1, et de la prime à l'intégration paysagère, les différents bâtiments accueillant cette installation unique sont considérés comme un bâtiment unique. »
II. Le quatrième alinéa est remplacé par l'alinéa ainsi rédigé :
« 1° Lorsqu'elles sont implantées sur des bâtiments, hangars ou ombrières appartenant à des propriétaires indépendants. L'indépendance des propriétaires de bâtiments regroupés en une installation unique s'apprécie par rapport à tous les propriétaires des bâtiments des sites. »
III. Au sixième alinéa le mot : « ombrière » est remplacé par le mot : « ombrières ».
IV. Au septième alinéa, le groupe de mots : « deux bâtiments, hangars ou ombrières exclusivement destinés à l'usage d'habitation au sens de l'article R. 311-11 du code de la construction et de l'urbanisme et distants de moins de cent (100) mètres » est remplacé par les mots : « deux bâtiments exclusivement destinés à l'usage d'habitation au sens de l'article R. 111-1 du code de la construction et de l'habitation et distants de moins de cent (100) mètres ».
Article 11 de l'arrêté du 22 décembre 2023
L'annexe 4 est ainsi modifiée :
A la suite du second alinéa, le paragraphe suivant est ajouté : « Les informations du tableau ci-dessous doivent être publiées par la Commission de régulation de l'énergie au plus tard une semaine après la transmissions des données par les gestionnaires de réseau. »
Article 12 de l'arrêté du 22 décembre 2023
Au 1.1 de l'annexe 5, la référence au « 3° » de l'article 4 est remplacée par la référence au « 5° ».
Article 13 de l'arrêté du 22 décembre 2023
L'annexe 6 est ainsi modifiée :
I. Au premier alinéa le groupe de mots : « (IEC 61215 et IEC 61730 en cours de validité) » est remplacé par : « (IEC 61215 et IEC 61730 en cours de validité ou toute autre méthode équivalente) ».
Article 14 de l'arrêté du 22 décembre 2023
L'annexe 6 ter est ainsi modifiée :
I. Au premier alinéa, le groupe de mots : « (IEC 61215 et IEC 61730 en cours de validité) » est remplacé par : « (IEC 61215 et IEC 61730 en cours de validité ou toute autre méthode équivalente) ».
II. Au second alinéa le groupe de mots : « aux normes IEC 61215 et 61730 applicables par un laboratoire accrédité 17025 » est remplacé par : « aux normes IEC 61215 et 61730 applicables ou à toute autre méthode équivalente par un laboratoire accrédité 17025 ».
III. Le tableau 3 est remplacé par le tableau suivant :
« Tableau 3. Valeurs des émissions de GES en CO2eq pour la fabrication des composants
« GWP = Global Warming Potential, IPCC2021 GWP100ans Simapro 9.3.
« Sources : Ecoinvent 3.5, CEA INES.
«
| Etape de fabrication/Matériau |
Unité |
Autriche |
Belgique |
Bulgarie |
Suisse |
Chypre |
République Tchèque |
Allemagne |
Danemark |
Estonie |
Espagne |
Finlande |
France |
| Silicium Métallurgique MG-Si |
kg CO2-eq/kg |
8,18 |
7,58 |
11,70 |
5,80 |
16,23 |
13,17 |
11,72 |
8,81 |
14,19 |
8,44 |
7,34 |
5,30 |
| polySi, Siemens process |
kg CO2-eq/kg |
34,48 |
30,66 |
56,90 |
19,33 |
85,68 |
66,23 |
56,98 |
38,48 |
74,20 |
36,14 |
29,15 |
16,18 |
| Réalisation du Lingot, mono |
kg CO2-eq/kg |
18,19 |
16,44 |
28,43 |
11,26 |
41,59 |
32,70 |
28,47 |
20,01 |
36,34 |
18,94 |
15,75 |
9,82 |
| Réalisation du lingot, multi |
kg CO2-eq/kg |
2,92 |
2,54 |
5,16 |
1,41 |
8,04 |
6,10 |
5,17 |
3,32 |
6,89 |
3,09 |
2,39 |
1,09 |
| Réalisation du lingot, monolike |
kg CO2-eq/kg |
5,52 |
5,13 |
7,76 |
4,00 |
10,64 |
8,69 |
7,77 |
5,92 |
9,49 |
5,68 |
4,98 |
3,69 |
| Réalisation de la brique |
kg CO2-eq/kg |
0,93 |
0,87 |
1,32 |
0,67 |
1,82 |
1,48 |
1,32 |
1,00 |
1,62 |
0,96 |
0,84 |
0,62 |
| Fabrication des plaquettes mono |
kg CO2-eq/m2 |
4,05 |
3,78 |
5,65 |
2,98 |
7,69 |
6,31 |
5,65 |
4,34 |
6,87 |
4,17 |
3,68 |
2,75 |
| Fabrication des plaquettes multi / monolike |
kg CO2-eq/m2 |
4,67 |
4,40 |
6,24 |
3,60 |
8,27 |
6,90 |
6,25 |
4,95 |
7,46 |
4,78 |
4,29 |
3,38 |
| Réalisation des cellules |
Kg CO2-eq/m2 |
21,89 |
20,52 |
29,91 |
16,47 |
40,20 |
33,24 |
29,94 |
23,32 |
36,09 |
22,48 |
19,99 |
15,35 |
| Verre |
kg CO2-eq/kg |
0,97 |
0,97 |
1,01 |
0,95 |
1,05 |
1,02 |
1,01 |
0,98 |
1,04 |
0,98 |
0,96 |
0,94 |
| Verre trempé |
kg CO2-eq/kg |
0,183 |
0,182 |
0,187 |
0,180 |
0,193 |
0,189 |
0,187 |
0,184 |
0,190 |
0,183 |
0,182 |
0,180 |
| Encapsulant (EVA ou équivalent) |
kg CO2-eq/kg |
2,53 |
2,50 |
2,75 |
2,39 |
3,03 |
2,84 |
2,75 |
2,57 |
2,91 |
2,55 |
2,48 |
2,36 |
| Feuille face arrière (PET ou équivalent) |
kg CO2-eq/kg |
3,58 |
3,54 |
3,80 |
3,44 |
4,07 |
3,89 |
3,80 |
3,62 |
3,96 |
3,60 |
3,53 |
3,41 |
| Feuille face arrière (PVF) |
kg CO2-eq/kg |
18,67 |
18,52 |
19,57 |
18,07 |
20,72 |
19,94 |
19,57 |
18,83 |
20,26 |
18,74 |
18,46 |
17,94 |
| Module cristallin |
kg CO2-eq/m2 module |
6,10 |
5,90 |
7,31 |
5,29 |
8,86 |
7,81 |
7,31 |
6,32 |
8,24 |
6,19 |
5,82 |
5,12 |
| Fabrication module a-Si |
kg CO2-eq/m2 module |
27,82 |
25,19 |
43,27 |
17,39 |
63,09 |
49,69 |
43,32 |
30,57 |
55,18 |
28,96 |
24,15 |
15,21 |
| Fabrication module CdTe, |
kg CO2-eq/ m2 module |
28,12 |
24,94 |
46,73 |
15,54 |
70,63 |
54,48 |
46,80 |
31,43 |
61,09 |
29,49 |
23,69 |
12,92 |
| Fabrication module CIGS |
kg CO2-eq/ m2 module |
46,43 |
39,75 |
85,62 |
19,94 |
135,95 |
101,94 |
85,77 |
53,42 |
115,87 |
49,33 |
37,12 |
14,43 |
| Etape de fabrication/Matériau |
Unité |
Royaume-Uni |
Grèce |
Croatie |
Hongrie |
Irlande |
Islande |
Italie |
Lituanie |
Luxembourg |
Lettonie |
Malte |
Pays-Bas |
| Silicium Métallurgique MG-Si |
kg CO2-eq/kg |
10,57 |
15,30 |
8,91 |
9,83 |
10,49 |
5,45 |
9,41 |
11,61 |
10,85 |
11,32 |
18,65 |
11,34 |
| polySi, Siemens process |
kg CO2-eq/kg |
49,69 |
79,80 |
39,13 |
44,99 |
49,21 |
17,11 |
42,32 |
56,32 |
51,47 |
54,46 |
101,12 |
54,59 |
| Réalisation du Lingot, mono |
kg CO2-eq/kg |
25,14 |
38,90 |
20,31 |
22,99 |
24,92 |
10,25 |
21,77 |
28,17 |
25,95 |
27,32 |
48,65 |
27,38 |
| Réalisation du lingot, multi |
kg CO2-eq/kg |
4,44 |
7,45 |
3,39 |
3,97 |
4,39 |
1,18 |
3,70 |
5,10 |
4,62 |
4,92 |
9,58 |
4,93 |
| Réalisation du lingot, monolike |
kg CO2-eq/kg |
7,04 |
10,05 |
5,98 |
6,57 |
6,99 |
3,78 |
6,30 |
7,70 |
7,22 |
7,51 |
12,18 |
7,53 |
| Réalisation de la brique |
kg CO2-eq/kg |
1,20 |
1,72 |
1,01 |
1,11 |
1,19 |
0,63 |
1,07 |
1,31 |
1,23 |
1,28 |
2,08 |
1,28 |
| Fabrication des plaquettes mono |
kg CO2-eq/m2 |
5,13 |
7,27 |
4,38 |
4,80 |
5,10 |
2,82 |
4,61 |
5,60 |
5,26 |
5,47 |
8,79 |
5,48 |
| Fabrication des plaquettes multi / monolike |
kg CO2-eq/m2 |
5,74 |
7,85 |
4,99 |
5,41 |
5,70 |
3,45 |
5,22 |
6,20 |
5,86 |
6,07 |
9,35 |
6,08 |
| Réalisation des cellules |
Kg CO2-eq/m2 |
27,33 |
38,10 |
23,55 |
25,65 |
27,16 |
15,68 |
24,69 |
29,70 |
27,97 |
29,04 |
45,72 |
29,08 |
| Verre |
kg CO2-eq/kg |
1,00 |
1,04 |
0,98 |
0,99 |
1,00 |
0,95 |
0,99 |
1,01 |
1,00 |
1,00 |
1,08 |
1,00 |
| Verre trempé |
kg CO2-eq/kg |
0,186 |
0,192 |
0,184 |
0,185 |
0,186 |
0,180 |
0,184 |
0,187 |
0,186 |
0,187 |
0,196 |
0,187 |
| Encapsulant (EVA ou équivalent) |
kg CO2-eq/kg |
2,68 |
2,97 |
2,58 |
2,63 |
2,67 |
2,37 |
2,61 |
2,74 |
2,70 |
2,72 |
3,17 |
2,73 |
| Feuille face arrière (PET ou équivalent) |
kg CO2-eq/kg |
3,73 |
4,02 |
3,63 |
3,68 |
3,72 |
3,41 |
3,66 |
3,79 |
3,74 |
3,77 |
4,22 |
3,77 |
| Feuille face arrière (PVF) |
kg CO2-eq/kg |
19,28 |
20,49 |
18,86 |
19,09 |
19,26 |
17,98 |
18,99 |
19,55 |
19,35 |
19,47 |
21,34 |
19,48 |
| Module cristallin |
kg CO2-eq/m2 module |
6,92 |
8,54 |
6,35 |
6,67 |
6,90 |
5,17 |
6,52 |
7,28 |
7,02 |
7,18 |
9,69 |
7,19 |
| Fabrication module a-Si |
kg CO2-eq/m2 module |
38,30 |
59,04 |
31,02 |
35,06 |
37,97 |
15,86 |
33,22 |
42,87 |
39,53 |
41,59 |
73,73 |
41,68 |
| Fabrication module CdTe, |
kg CO2-eq/ m2 module |
40,74 |
65,74 |
31,97 |
36,84 |
40,34 |
13,70 |
34,63 |
46,25 |
42,22 |
44,71 |
83,45 |
44,81 |
| Fabrication module CIGS |
kg CO2-eq/ m2 module |
73,02 |
125,66 |
54,55 |
64,80 |
72,18 |
16,06 |
60,14 |
84,61 |
76,13 |
81,36 |
162,94 |
81,59 |
| Etape de fabrication/Matériau |
Unité |
Afrique du Sud |
Qatar |
Arabie saoudite |
UAE |
Algérie |
Maroc |
Egypte |
Brésil |
Ukraine |
Macédoine du Nord |
Serbie |
| Silicium Métallurgique MG-Si |
kg CO2-eq/kg |
16,31 |
10,54 |
16,54 |
10,61 |
11,81 |
13,62 |
11,08 |
7,48 |
11,92 |
15,64 |
14,27 |
| polySi, Siemens process |
kg CO2-eq/kg |
82,61 |
45,85 |
84,07 |
46,33 |
53,97 |
65,45 |
49,28 |
26,36 |
54,67 |
81,96 |
69,60 |
| Réalisation du Lingot, mono |
kg CO2-eq/kg |
41,60 |
24,79 |
42,27 |
25,02 |
28,51 |
33,75 |
26,36 |
15,89 |
28,83 |
39,89 |
35,65 |
| Réalisation du lingot, multi |
kg CO2-eq/kg |
8,38 |
4,70 |
8,53 |
4,75 |
5,52 |
6,66 |
5,05 |
2,76 |
5,59 |
7,67 |
7,08 |
| Réalisation du lingot, monolike |
kg CO2-eq/kg |
10,84 |
7,17 |
10,99 |
7,22 |
7,98 |
9,13 |
7,51 |
5,22 |
8,05 |
10,26 |
9,54 |
| Réalisation de la brique |
kg CO2-eq/kg |
1,83 |
1,19 |
1,85 |
1,20 |
1,33 |
1,53 |
1,25 |
0,86 |
1,34 |
1,75 |
1,60 |
| Fabrication des plaquettes mono |
kg CO2-eq/m2 |
7,85 |
5,24 |
7,95 |
5,27 |
5,82 |
6,63 |
5,48 |
3,86 |
5,87 |
7,43 |
6,93 |
| Fabrication des plaquettes multi / monolike |
kg CO2-eq/m2 |
8,18 |
5,60 |
8,28 |
5,63 |
6,17 |
6,98 |
5,84 |
4,23 |
6,22 |
8,00 |
7,27 |
| Réalisation des cellules |
Kg CO2-eq/m2 |
40,40 |
27,26 |
40,92 |
27,43 |
30,16 |
34,27 |
28,48 |
20,29 |
30,41 |
38,87 |
35,75 |
| Verre |
kg CO2-eq/kg |
1,05 |
1,00 |
1,06 |
1,00 |
1,01 |
1,03 |
1,00 |
0,96 |
1,01 |
1,05 |
1,03 |
| Verre trempé |
kg CO2-eq/kg |
0,17 |
0,16 |
0,17 |
0,16 |
0,17 |
0,17 |
0,16 |
0,16 |
0,17 |
0,19 |
0,17 |
| Encapsulant (EVA ou équivalent) |
kg CO2-eq/kg |
3,15 |
2,80 |
3,16 |
2,80 |
2,88 |
2,99 |
2,83 |
2,61 |
2,88 |
2,99 |
3,03 |
| Feuille face arrière (PET ou équivalent) |
kg CO2-eq/kg |
4,06 |
3,71 |
4,07 |
3,71 |
3,78 |
3,89 |
3,74 |
3,52 |
3,79 |
4,04 |
3,93 |
| Feuille face arrière (PVF) |
kg CO2-eq/kg |
21,27 |
19,80 |
21,33 |
19,82 |
20,12 |
20,58 |
19,93 |
19,02 |
20,15 |
20,57 |
20,75 |
| Module cristallin |
kg CO2-eq/m2 module |
8,97 |
6,99 |
9,05 |
7,02 |
7,43 |
8,05 |
7,17 |
5,94 |
7,47 |
8,66 |
8,27 |
| Fabrication module a-Si |
kg CO2-eq/m2 module |
63,48 |
38,16 |
64,49 |
38,49 |
43,75 |
51,66 |
40,52 |
24,74 |
44,24 |
60,53 |
54,52 |
| Fabrication module CdTe, |
kg CO2-eq/ m2 module |
71,10 |
40,58 |
72,31 |
40,98 |
47,32 |
56,85 |
43,43 |
24,40 |
47,90 |
67,54 |
60,30 |
| Fabrication module CIGS |
kg CO2-eq/ m2 module |
136,93 |
72,67 |
139,49 |
73,51 |
86,86 |
106,93 |
78,66 |
38,61 |
88,09 |
129,44 |
114,19 |
| Etape de fabrication/Matériau |
Unité |
Norvège |
Pologne |
Portugal |
Roumanie |
Suède |
Slovénie |
Slovaquie |
Chine |
Japon |
Corée du Sud |
Malaisie |
Philippines |
| Silicium Métallurgique MG-Si |
kg CO2-eq/kg |
5,05 |
15,82 |
8,74 |
9,61 |
5,27 |
8,24 |
9,64 |
15,99 |
12,90 |
11,73 |
13,87 |
12,29 |
| polySi, Siemens process |
kg CO2-eq/kg |
14,54 |
83,11 |
38,06 |
43,61 |
15,98 |
34,84 |
43,74 |
80,56 |
60,87 |
53,42 |
67,04 |
56,98 |
| Réalisation du Lingot, mono |
kg CO2-eq/kg |
9,07 |
40,42 |
19,82 |
22,36 |
9,73 |
18,35 |
22,42 |
40,66 |
31,66 |
28,26 |
34,48 |
29,88 |
| Réalisation du lingot, multi |
kg CO2-eq/kg |
0,93 |
7,78 |
3,28 |
3,83 |
1,07 |
2,96 |
3,85 |
8,18 |
6,21 |
5,46 |
6,82 |
5,82 |
| Réalisation du lingot, monolike |
kg CO2-eq/kg |
3,52 |
10,38 |
5,87 |
6,43 |
3,67 |
5,55 |
6,44 |
10,64 |
8,67 |
7,92 |
9,29 |
8,28 |
| Réalisation de la brique |
kg CO2-eq/kg |
0,59 |
1,77 |
0,99 |
1,09 |
0,61 |
0,94 |
1,09 |
1,79 |
1,45 |
1,32 |
1,56 |
1,38 |
| Fabrication des plaquettes mono |
kg CO2-eq/m2 |
2,64 |
7,51 |
4,31 |
4,70 |
2,74 |
4,08 |
4,71 |
7,70 |
6,31 |
5,78 |
6,74 |
6,03 |
| Fabrication des plaquettes multi / monolike |
kg CO2-eq/m2 |
3,26 |
8,08 |
4,92 |
5,31 |
3,37 |
4,69 |
5,32 |
8,04 |
6,65 |
6,13 |
7,09 |
6,38 |
| Réalisation des cellules |
Kg CO2-eq/m2 |
14,76 |
39,28 |
23,17 |
25,16 |
15,28 |
22,02 |
25,20 |
39,67 |
32,63 |
29,97 |
34,84 |
31,24 |
| Verre |
kg CO2-eq/kg |
0,94 |
1,05 |
0,98 |
0,99 |
0,94 |
0,97 |
0,99 |
1,05 |
1,02 |
1,01 |
1,03 |
1,01 |
| Verre trempé |
kg CO2-eq/kg |
0,179 |
0,192 |
0,184 |
0,185 |
0,179 |
0,183 |
0,185 |
0,170 |
0,167 |
0,165 |
0,168 |
0,166 |
| Encapsulant (EVA ou équivalent) |
kg CO2-eq/kg |
2,34 |
3,00 |
2,57 |
2,62 |
2,35 |
2,54 |
2,62 |
3,13 |
2,94 |
2,87 |
3,00 |
2,90 |
| Feuille face arrière (PET ou équivalent) |
kg CO2-eq/kg |
3,39 |
4,05 |
3,62 |
3,67 |
3,40 |
3,59 |
3,67 |
4,04 |
3,85 |
3,78 |
3,91 |
3,81 |
| Feuille face arrière (PVF) |
kg CO2-eq/kg |
17,87 |
20,62 |
18,82 |
19,04 |
17,93 |
18,69 |
19,04 |
21,19 |
20,40 |
20,10 |
20,65 |
20,24 |
| Module cristallin |
kg CO2-eq/m2 module |
5,03 |
8,72 |
6,29 |
6,59 |
5,11 |
6,12 |
6,60 |
8,86 |
7,80 |
7,40 |
8,13 |
7,59 |
| Fabrication module a-Si |
kg CO2-eq/m2 module |
14,08 |
61,32 |
30,29 |
34,11 |
15,08 |
28,07 |
34,20 |
62,07 |
48,51 |
43,38 |
52,76 |
45,83 |
| Fabrication module CdTe, |
kg CO2-eq/ m2 module |
11,56 |
68,50 |
31,09 |
35,70 |
12,76 |
28,42 |
35,81 |
69,40 |
53,05 |
46,87 |
58,17 |
49,82 |
| Fabrication module CIGS |
kg CO2-eq/ m2 module |
11,56 |
131,46 |
52,68 |
62,39 |
14,08 |
47,06 |
62,62 |
133,35 |
98,93 |
85,91 |
109,72 |
92,13 |
| Etape de fabrication/Matériau |
Unité |
Taiwan |
Etats-Unis |
Russie |
Canada |
Turquie |
Tunisie |
Vietnam |
Thaïlande |
Singapour |
Mexique |
Jordanie |
Inde |
| Silicium Métallurgique MG-Si |
kg CO2-eq/kg |
12,72 |
12,09 |
12,87 |
6,92 |
11,82 |
11,18 |
9,36 |
12,12 |
9,91 |
11,08 |
15,15 |
20,02 |
| polySi, Siemens process |
kg CO2-eq/kg |
59,76 |
55,71 |
60,70 |
22,83 |
54,01 |
49,91 |
38,38 |
55,91 |
41,86 |
49,33 |
75,18 |
106,19 |
| Réalisation du Lingot, mono |
kg CO2-eq/kg |
31,15 |
29,30 |
31,58 |
14,27 |
28,53 |
26,65 |
21,38 |
29,39 |
22,97 |
26,38 |
38,20 |
52,38 |
| Réalisation du lingot, multi |
kg CO2-eq/kg |
6,10 |
5,69 |
6,19 |
2,40 |
5,52 |
5,11 |
3,96 |
5,71 |
4,31 |
5,05 |
7,64 |
10,74 |
| Réalisation du lingot, monolike |
kg CO2-eq/kg |
8,56 |
8,15 |
8,65 |
4,86 |
7,98 |
7,57 |
6,42 |
8,17 |
6,77 |
7,51 |
10,10 |
13,20 |
| Réalisation de la brique |
kg CO2-eq/kg |
1,43 |
1,36 |
1,45 |
0,79 |
1,33 |
1,26 |
1,06 |
1,37 |
1,12 |
1,25 |
1,70 |
2,23 |
| Fabrication des plaquettes mono |
kg CO2-eq/m2 |
6,23 |
5,94 |
6,29 |
3,60 |
5,82 |
5,53 |
4,71 |
5,95 |
4,96 |
5,49 |
7,32 |
9,52 |
| Fabrication des plaquettes multi / monolike |
kg CO2-eq/m2 |
6,58 |
6,29 |
6,64 |
3,98 |
6,17 |
5,88 |
5,07 |
6,30 |
5,32 |
5,84 |
7,66 |
9,84 |
| Réalisation des cellules |
Kg CO2-eq/m2 |
32,23 |
30,78 |
32,57 |
19,03 |
30,18 |
28,71 |
24,59 |
30,85 |
25,83 |
28,50 |
37,75 |
48,83 |
| Verre |
kg CO2-eq/kg |
1,02 |
1,01 |
1,02 |
0,96 |
1,01 |
1,00 |
0,98 |
1,01 |
0,99 |
1,00 |
1,04 |
1,09 |
| Verre trempé |
kg CO2-eq/kg |
0,166 |
0,166 |
0,167 |
0,159 |
0,165 |
0,165 |
0,162 |
0,166 |
0,163 |
0,164 |
0,169 |
0,175 |
| Encapsulant (EVA ou équivalent) |
kg CO2-eq/kg |
2,93 |
2,89 |
2,94 |
2,58 |
2,88 |
2,84 |
2,73 |
2,89 |
2,76 |
2,83 |
3,08 |
3,38 |
| Feuille face arrière (PET ou équivalent) |
kg CO2-eq/kg |
3,84 |
3,80 |
3,85 |
3,48 |
3,78 |
3,74 |
3,63 |
3,80 |
3,67 |
3,74 |
3,99 |
4,29 |
| Feuille face arrière (PVF) |
kg CO2-eq/kg |
20,35 |
20,19 |
20,39 |
18,88 |
20,12 |
19,96 |
19,50 |
20,20 |
19,64 |
19,94 |
20,97 |
22,21 |
| Module cristallin |
kg CO2-eq/m2 module |
7,74 |
7,52 |
7,79 |
5,75 |
7,43 |
7,21 |
6,59 |
7,53 |
6,78 |
7,18 |
8,57 |
10,24 |
| Fabrication module a-Si |
kg CO2-eq/m2 module |
47,74 |
44,95 |
48,39 |
22,30 |
43,78 |
40,96 |
33,02 |
45,09 |
35,41 |
40,56 |
58,36 |
79,73 |
| Fabrication module CdTe, |
kg CO2-eq/ m2 module |
52,13 |
48,76 |
52,91 |
21,46 |
47,36 |
43,95 |
34,38 |
48,93 |
37,26 |
43,47 |
64,93 |
90,68 |
| Fabrication module CIGS |
kg CO2-eq/ m2 module |
96,98 |
89,90 |
98,63 |
32,42 |
86,94 |
79,76 |
59,61 |
90,25 |
65,69 |
78,75 |
123,94 |
178,16 |
| Etape de fabrication/Matériau |
Unité |
Afrique du Sud |
Qatar |
Arabie saoudite |
UAE |
Algérie |
Maroc |
Egypte |
Brésil |
Ukraine |
Macédoine du Nord |
Serbie |
| Silicium Métallurgique MG-Si |
kg CO2-eq/kg |
16,31 |
10,54 |
16,54 |
10,61 |
11,81 |
13,62 |
11,08 |
7,48 |
11,92 |
15,64 |
14,27 |
| polySi, Siemens process |
kg CO2-eq/kg |
82,61 |
45,85 |
84,07 |
46,33 |
53,97 |
65,45 |
49,28 |
26,36 |
54,67 |
81,96 |
69,60 |
| Réalisation du Lingot, mono |
kg CO2-eq/kg |
41,60 |
24,79 |
42,27 |
25,02 |
28,51 |
33,75 |
26,36 |
15,89 |
28,83 |
39,89 |
35,65 |
| Réalisation du lingot, multi |
kg CO2-eq/kg |
8,38 |
4,70 |
8,53 |
4,75 |
5,52 |
6,66 |
5,05 |
2,76 |
5,59 |
7,67 |
7,08 |
| Réalisation du lingot, monolike |
kg CO2-eq/kg |
10,84 |
7,17 |
10,99 |
7,22 |
7,98 |
9,13 |
7,51 |
5,22 |
8,05 |
10,26 |
9,54 |
| Réalisation de la brique |
kg CO2-eq/kg |
1,83 |
1,19 |
1,85 |
1,20 |
1,33 |
1,53 |
1,25 |
0,86 |
1,34 |
1,75 |
1,60 |
| Fabrication des plaquettes mono |
kg CO2-eq/m2 |
7,85 |
5,24 |
7,95 |
5,27 |
5,82 |
6,63 |
5,48 |
3,86 |
5,87 |
7,43 |
6,93 |
| Fabrication des plaquettes multi / monolike |
kg CO2-eq/m2 |
8,18 |
5,60 |
8,28 |
5,63 |
6,17 |
6,98 |
5,84 |
4,23 |
6,22 |
8,00 |
7,27 |
| Réalisation des cellules |
Kg CO2-eq/m2 |
40,40 |
27,26 |
40,92 |
27,43 |
30,16 |
34,27 |
28,48 |
20,29 |
30,41 |
38,87 |
35,75 |
| Verre |
kg CO2-eq/kg |
1,05 |
1,00 |
1,06 |
1,00 |
1,01 |
1,03 |
1,00 |
0,96 |
1,01 |
1,05 |
1,03 |
| Verre trempé |
kg CO2-eq/kg |
0,17 |
0,16 |
0,17 |
0,16 |
0,17 |
0,17 |
0,16 |
0,16 |
0,17 |
0,19 |
0,17 |
| Encapsulant (EVA ou équivalent) |
kg CO2-eq/kg |
3,15 |
2,80 |
3,16 |
2,80 |
2,88 |
2,99 |
2,83 |
2,61 |
2,88 |
2,99 |
3,03 |
| Feuille face arrière (PET ou équivalent) |
kg CO2-eq/kg |
4,06 |
3,71 |
4,07 |
3,71 |
3,78 |
3,89 |
3,74 |
3,52 |
3,79 |
4,04 |
3,93 |
| Feuille face arrière (PVF) |
kg CO2-eq/kg |
21,27 |
19,80 |
21,33 |
19,82 |
20,12 |
20,58 |
19,93 |
19,02 |
20,15 |
20,57 |
20,75 |
| Module cristallin |
kg CO2-eq/m2 module |
8,97 |
6,99 |
9,05 |
7,02 |
7,43 |
8,05 |
7,17 |
5,94 |
7,47 |
8,66 |
8,27 |
| Fabrication module a-Si |
kg CO2-eq/m2 module |
63,48 |
38,16 |
64,49 |
38,49 |
43,75 |
51,66 |
40,52 |
24,74 |
44,24 |
60,53 |
54,52 |
| Fabrication module CdTe, |
kg CO2-eq/ m2 module |
71,10 |
40,58 |
72,31 |
40,98 |
47,32 |
56,85 |
43,43 |
24,40 |
47,90 |
67,54 |
60,30 |
| Fabrication module CIGS |
kg CO2-eq/ m2 module |
136,93 |
72,67 |
139,49 |
73,51 |
86,86 |
106,93 |
78,66 |
38,61 |
88,09 |
129,44 |
114,19 |
| Etape de fabrication/Matériau |
Unité |
Autre pays d'Europe |
Autre pays du Monde |
| Silicium Métallurgique MG-Si |
kg CO2-eq/kg |
9,64 |
12,81 |
| polySi, Siemens process |
kg CO2-eq/kg |
43,78 |
60,32 |
| Réalisation du Lingot, mono |
kg CO2-eq/kg |
22,44 |
31,41 |
| Réalisation du lingot, multi |
kg CO2-eq/kg |
3,85 |
6,15 |
| Réalisation du lingot, monolike |
kg CO2-eq/kg |
6,45 |
8,61 |
| Réalisation de la brique |
kg CO2-eq/kg |
1,09 |
1,44 |
| Fabrication des plaquettes mono |
kg CO2-eq/m2 |
4,71 |
6,27 |
| Fabrication des plaquettes multi / monolike |
kg CO2-eq/m2 |
5,32 |
6,61 |
| Réalisation des cellules |
Kg CO2-eq/m2 |
25,22 |
32,43 |
| Verre |
kg CO2-eq/kg |
0,99 |
1,02 |
| Verre trempé |
kg CO2-eq/kg |
0,18 |
0,17 |
| Encapsulant (EVA ou équivalent) |
kg CO2-eq/kg |
2,62 |
2,94 |
| Feuille face arrière (PET ou équivalent) |
kg CO2-eq/kg |
3,67 |
3,85 |
| Feuille face arrière (PVF) |
kg CO2-eq/kg |
19,04 |
20,38 |
| Module cristallin |
kg CO2-eq/m2 module |
6,60 |
7,77 |
| Fabrication module a-Si |
kg CO2-eq/m2 module |
34,23 |
48,13 |
| Fabrication module CdTe, |
kg CO2-eq/ m2 module |
35,84 |
52,60 |
| Fabrication module CIGS |
kg CO2-eq/ m2 module |
62,69 |
97,97 |
».
Article 15 de l'arrêté du 22 décembre 2023
L'annexe 8 est ainsi modifiée :
I. L'intitulé de l'annexe est remplacé par l'intitulé ainsi rédigé :
« Identification du ou des propriétaires du bâtiment, hangar ou ombrière et identification du ou des propriétaires du terrain d'assiette de l'installation ».
II. Le deuxième alinéa est remplacé par l'alinéa ainsi rédigé :
« La preuve de la propriété du bâtiment, hangar, ombrière ou la preuve de la propriété du terrain d'assiette peuvent être apportées par les documents et pièces justificatives suivantes. »
III. Le titre « Cas général » est passé en gras, non souligné et, avant le titre : « cas d'un producteur ayant construit seul sa maison », est ajouté le titre : « Cas particuliers » en gras, non souligné.
IV. Au sixième alinéa, les mots : « propriétaire du bâtiment et du notaire » sont remplacés par les mots : « propriétaire et du notaire ».
Article 16 de l'arrêté du 22 décembre 2023
Après l'annexe 8, est ajoutée une annexe 9 ainsi rédigée :
« ANNEXE 9
ATTESTATION DÉLIVRÉE PAR UN ORGANISME AGRÉÉ
Au titre de l'article R. 311-33 du code de l'énergie remplaçant l'attestation de l'entreprise ayant réalisé l'installation prévue à l'article 6
Numéro de contrat : BTA
Attestation de l'organisme agréé concernant l'installation du système photovoltaïque (installation inférieure à 100 kWc)
Je soussigné(e)
(nom de l'inspecteur, de l'organisme agréé et adresse de son siège social),
atteste que
(nom de l'installeur, de l'entreprise installatrice et adresse de son siège social),
en qualité d'installateur du système photovoltaïque objet du présent contrat d'achat,
- dispose, en date d'achèvement de l'installation, d'une qualification ou d'une certification professionnelle pour la réalisation d'installations photovoltaïques qui corresponde au type d'installation réalisée et à la taille du chantier ;
- a installé des matériels de caractéristiques suivantes (préciser ces informations si disponibles) :
□ Panneaux :
- marque : ;
- référence : ;
- nom du fabricant :.
□ Connectique (si différent) :
- marque : ;
- référence : ;
- nom du fabricant :.
□ Boitier (si différent) :
- marque : ;
- référence : ;
- nom du fabricant :.
J'atteste que, si le producteur demande à bénéficier de la prime à l'intégration paysagère, l'installation respecte bien les critères d'intégration paysagère mentionnées à l'annexe 2 de l'arrêté du 6 octobre 2021.
Fait à (nom, qualité, signature et cachet de l'inspecteur).
Le . »
Article 17 de l'arrêté du 22 décembre 2023
Clause de revoyure.
Les dispositions prévues à l'article 9 du présent arrêté peuvent être révisées dans un délai de deux ans à compter de la publication du présent arrêté.
Article 18 de l'arrêté du 22 décembre 2023
Le présent arrêté s'applique aux installations dont la demande complète de raccordement est postérieure au 22 décembre 2023. Pour les installations dont la demande complète de raccordement est antérieure au 22 décembre 2023, ce sont les dispositions de l'arrêté du 6 octobre 2021 dans sa version antérieure qui s'appliquent.
Les installations pour lesquelles une demande complète de raccordement a été déposée entre le 1er août 2023 et la veille de l'entrée en vigueur du présent arrêté bénéficient des conditions d'achat découlant des modalités de l'article 9 du présent arrêté.
Article 19 de l'arrêté du 22 décembre 2023
Le présent arrêté sera publié au Journal officiel de la République française.
Fait le 22 décembre 2023.
La ministre de la transition énergétique,
Pour la ministre et par délégation :
Le directeur de l'énergie,
L. Kueny
Le ministre de l'économie, des finances et de la souveraineté industrielle et numérique,
Pour le ministre et par délégation :
La directrice générale de la concurrence, de la consommation et de la répression des fraudes,
S. Lacoche